Официальное опубликование правовых актов
ОФИЦИАЛЬНОЕ ОПУБЛИКОВАНИЕ
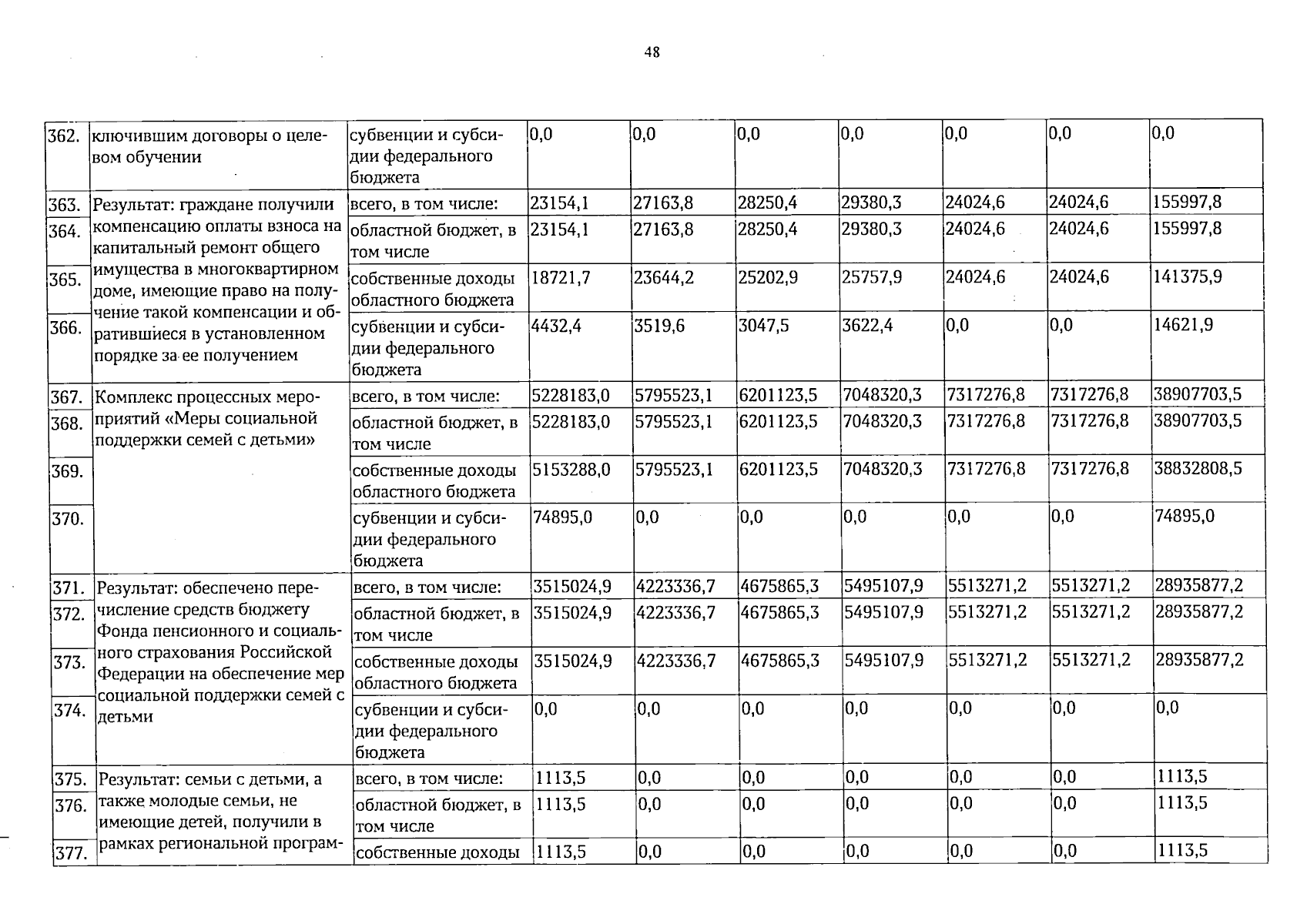
Постановление Правительства Вологодской области от 20.02.2026 № 196
"О внесении изменений в постановление Правительства области от 22 апреля 2019 года № 395"
Номер опубликования: 3500202602240002
Дата опубликования: 24.02.2026
Страница №48 из 172:
Увеличить