Официальное опубликование правовых актов
ОФИЦИАЛЬНОЕ ОПУБЛИКОВАНИЕ
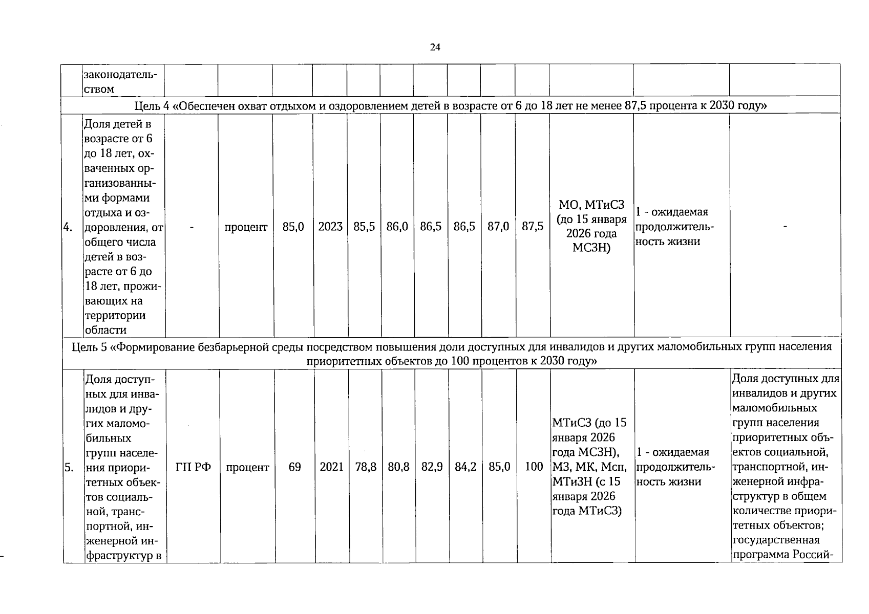
Постановление Правительства Вологодской области от 30.01.2026 № 83
"О внесении изменений в постановление Правительства области от 22 апреля 2019 года № 395"
Номер опубликования: 3500202601300009
Дата опубликования: 30.01.2026
Страница №24 из 270:
Увеличить