Официальное опубликование правовых актов
ОФИЦИАЛЬНОЕ ОПУБЛИКОВАНИЕ
Постановление Правительства Вологодской области от 30.12.2025 № 1804
"О внесении изменений в постановление Правительства области от 22 апреля 2019 года № 395"
Номер опубликования: 3500202512300024
Дата опубликования: 30.12.2025
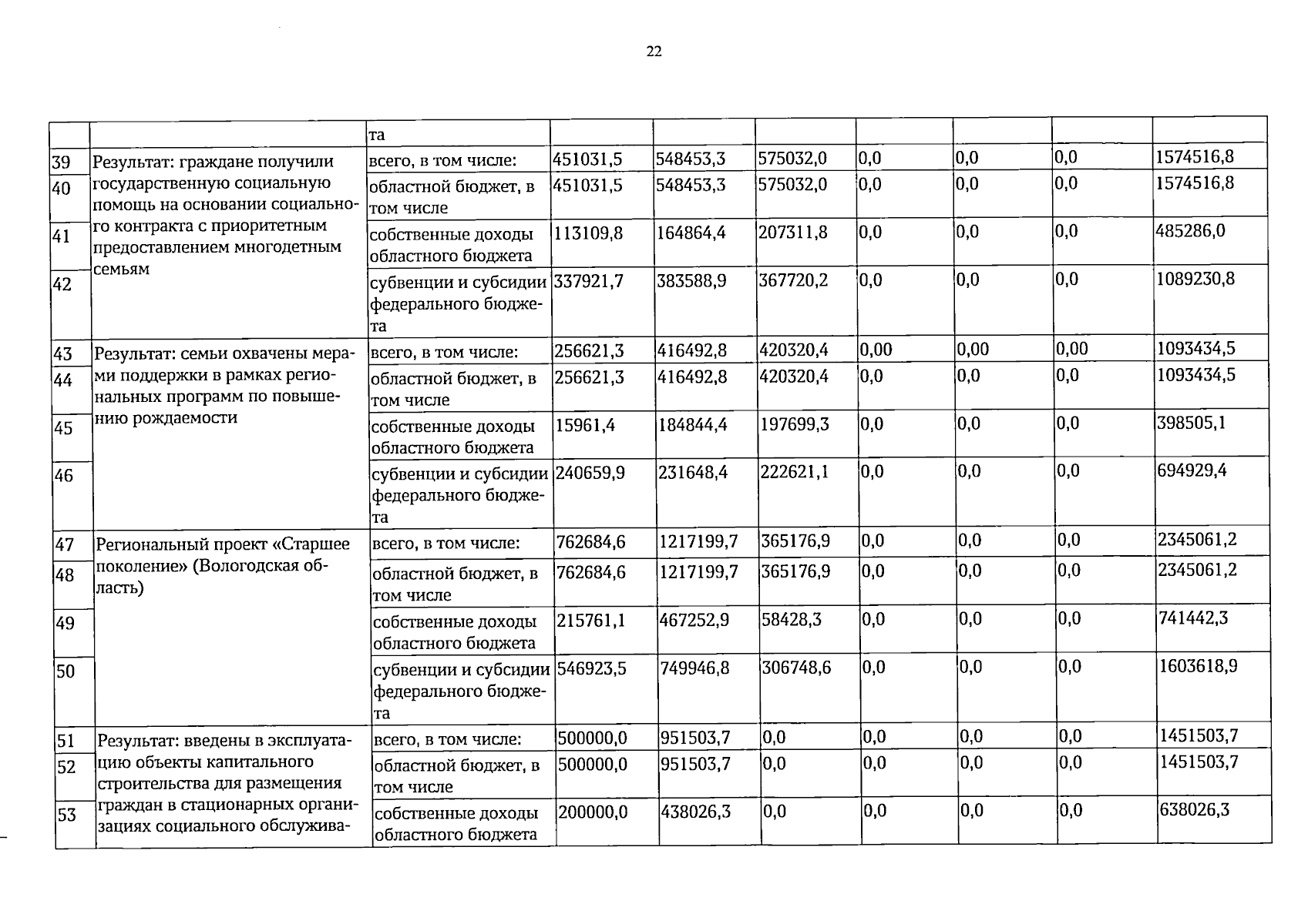
Страница №22 из 98:
Увеличить