Официальное опубликование правовых актов
ОФИЦИАЛЬНОЕ ОПУБЛИКОВАНИЕ
Постановление Правительства Вологодской области от 29.12.2025 № 1784
"О внесении изменений в постановление Правительства области от 22 апреля 2019 года № 387"
Номер опубликования: 3500202512300020
Дата опубликования: 30.12.2025
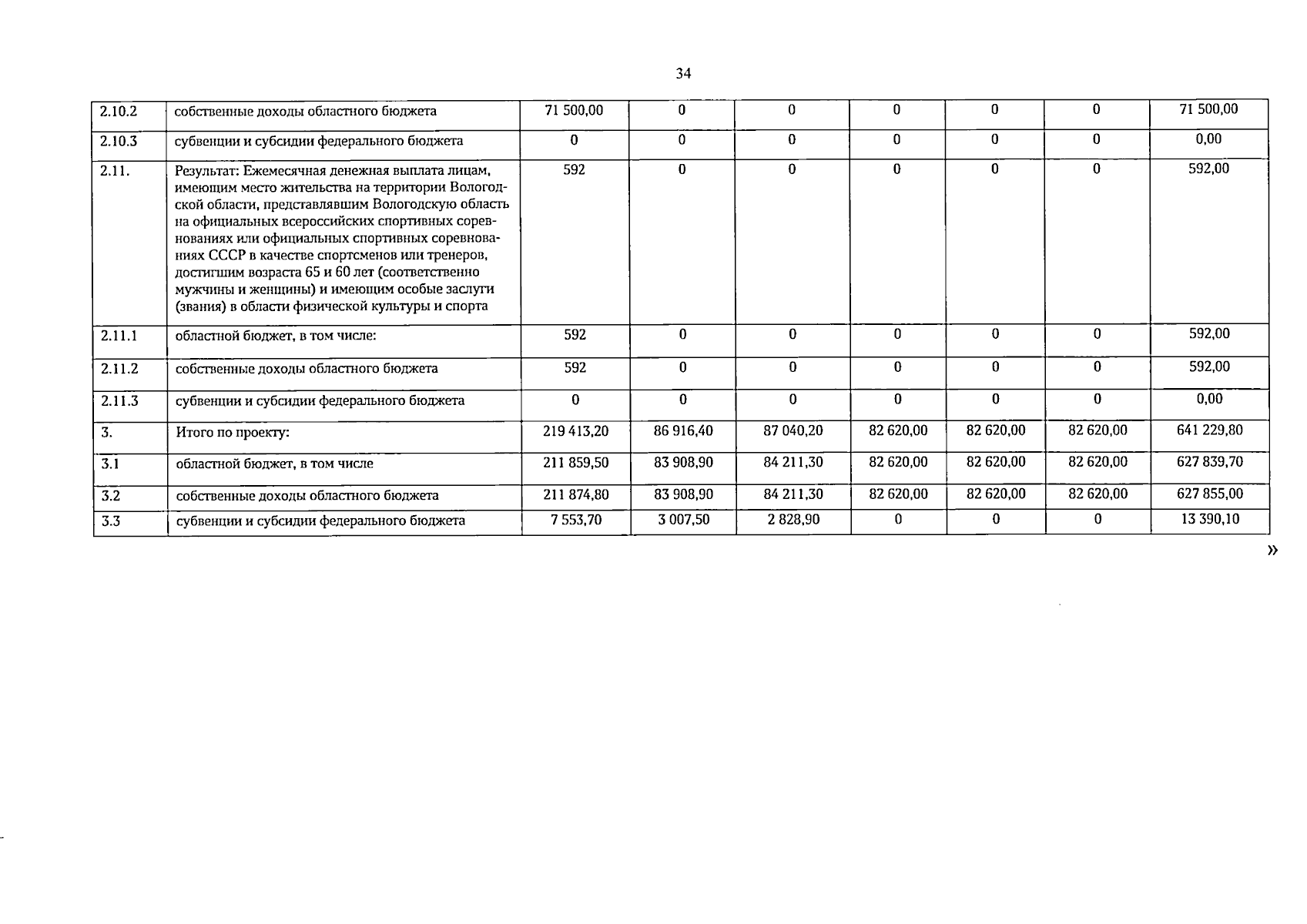
Страница №34 из 42:
Увеличить