Официальное опубликование правовых актов
ОФИЦИАЛЬНОЕ ОПУБЛИКОВАНИЕ
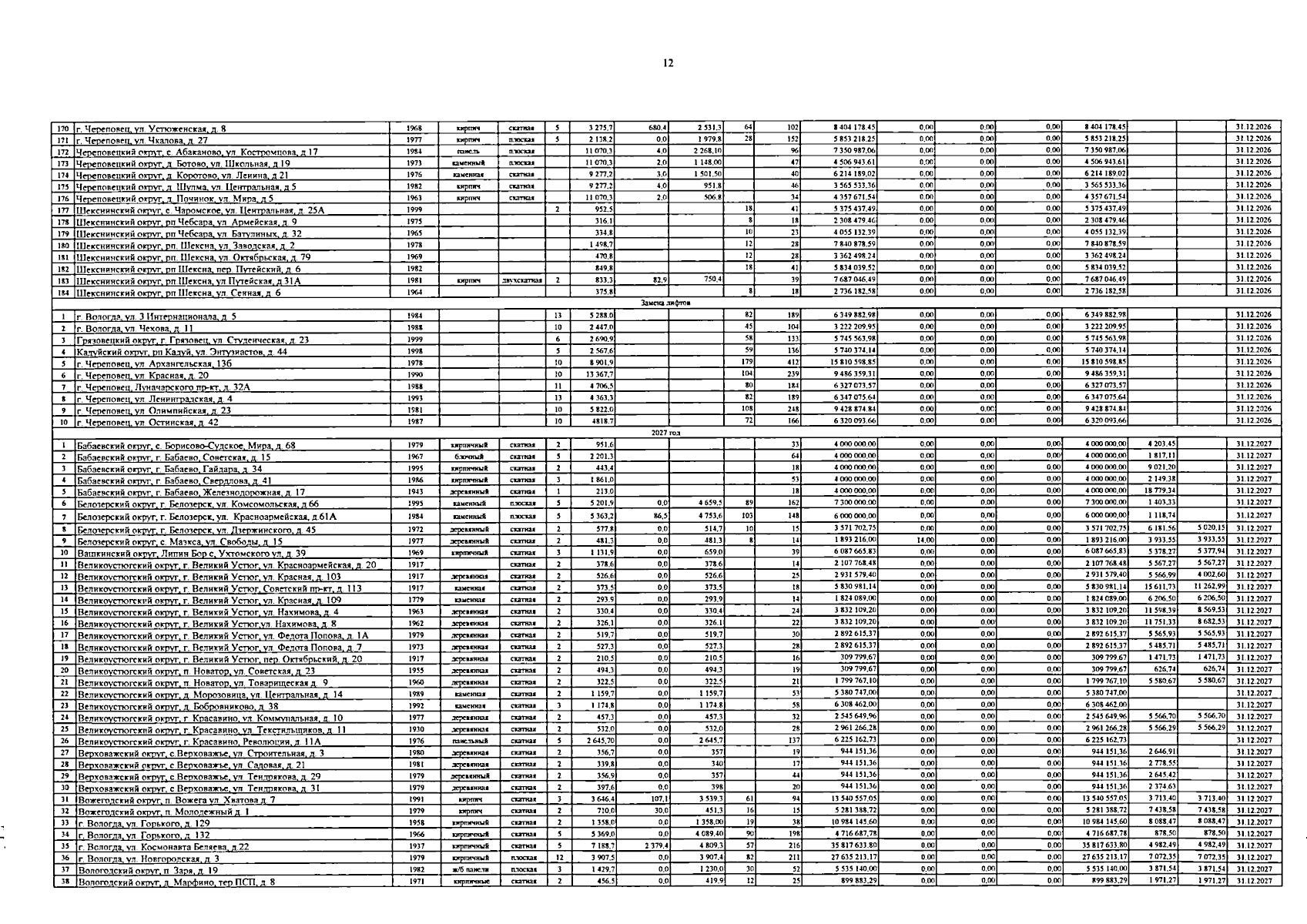
Постановление Правительства Вологодской области от 25.12.2025 № 1764
"О внесении изменения в постановление Правительства области от 6 мая 2024 года № 550"
Номер опубликования: 3500202512260003
Дата опубликования: 26.12.2025
Страница №13 из 38:
Увеличить