Официальное опубликование правовых актов
ОФИЦИАЛЬНОЕ ОПУБЛИКОВАНИЕ
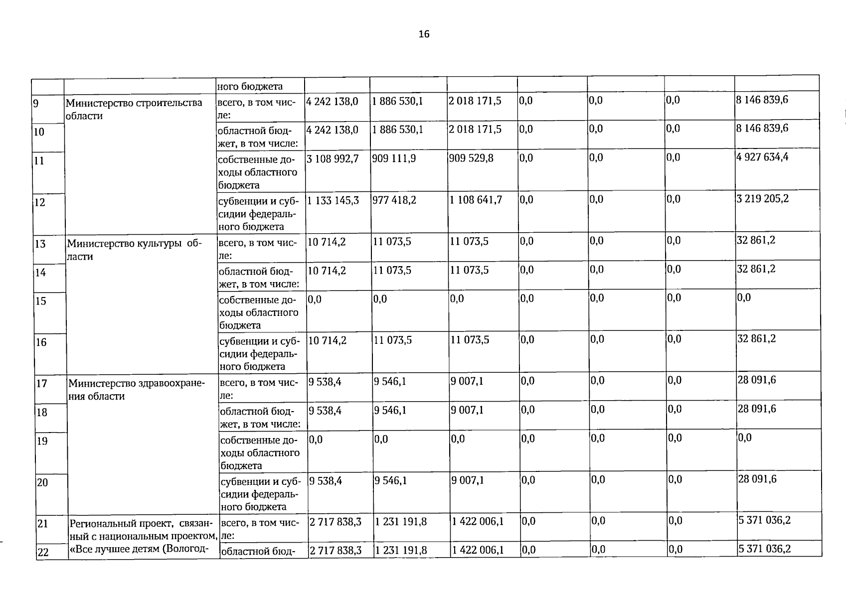
Постановление Правительства Вологодской области от 13.10.2025 № 1411
"О внесении изменений в постановление Правительства области от 28 января 2019 года № 74"
Номер опубликования: 3500202510150005
Дата опубликования: 15.10.2025
Страница №16 из 160:
Увеличить