Официальное опубликование правовых актов
ОФИЦИАЛЬНОЕ ОПУБЛИКОВАНИЕ
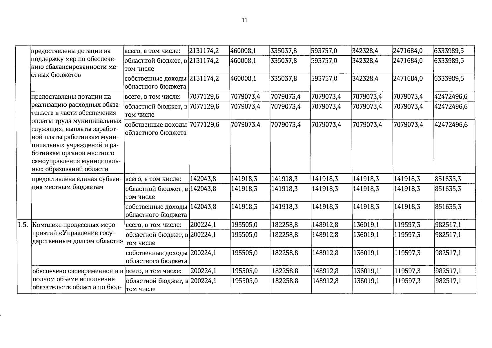
Постановление Правительства Вологодской области от 26.09.2025 № 1344
"О внесении изменений в постановление Правительства области от 20 мая 2019 года № 469"
Номер опубликования: 3500202509290005
Дата опубликования: 29.09.2025
Страница №11 из 43:
Увеличить