Официальное опубликование правовых актов
ОФИЦИАЛЬНОЕ ОПУБЛИКОВАНИЕ
Постановление Правительства Вологодской области от 04.09.2025 № 1249
"О внесении изменений в постановление Правительства области от 27 декабря 2024 года № 1662"
Номер опубликования: 3500202509050001
Дата опубликования: 05.09.2025
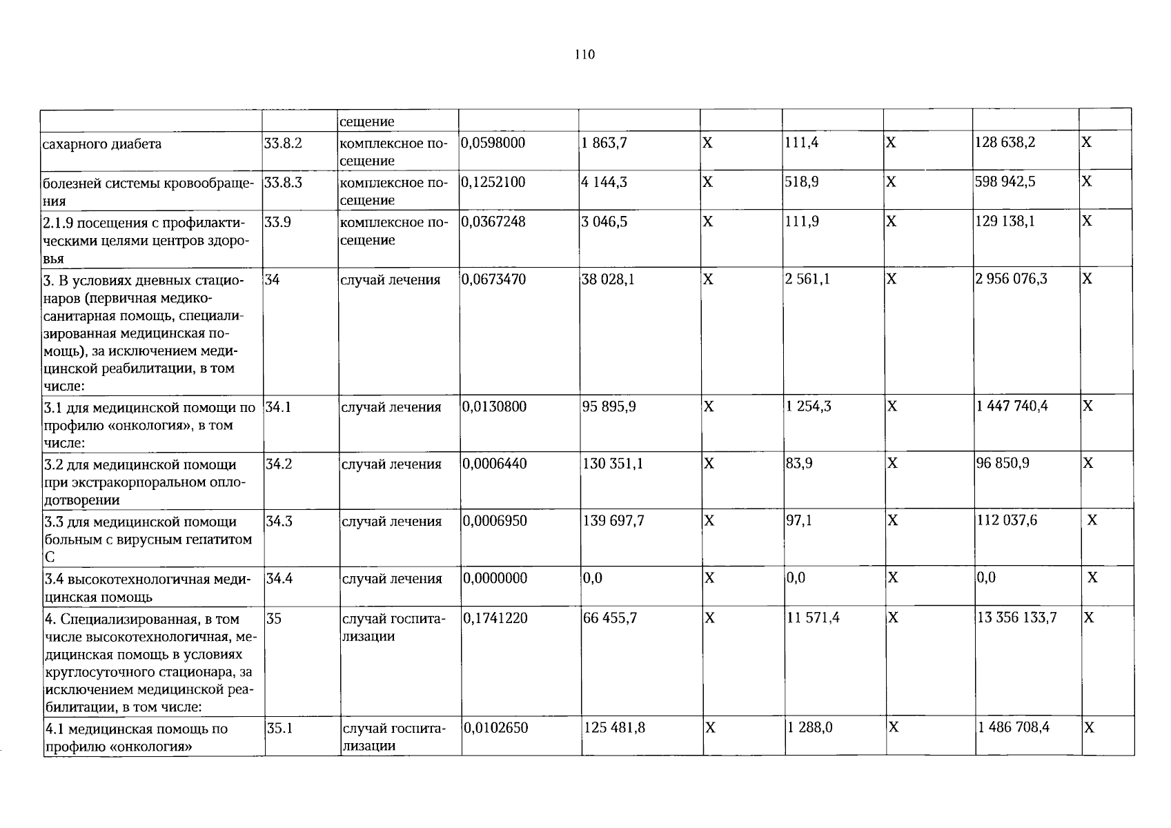
Страница №110 из 204:
Увеличить