Официальное опубликование правовых актов
ОФИЦИАЛЬНОЕ ОПУБЛИКОВАНИЕ
Постановление Губернатора Вологодской области от 16.07.2025 № 284
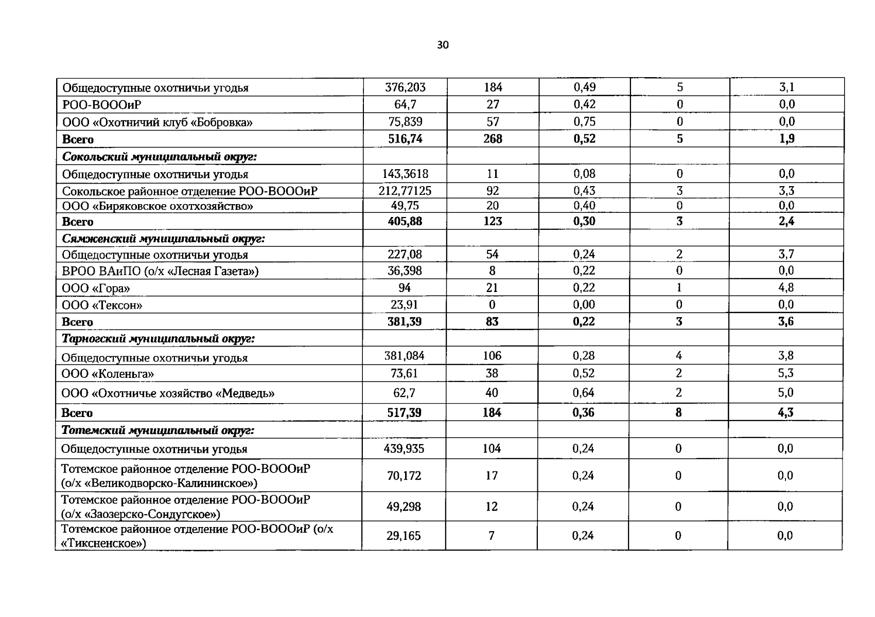
"Об утверждении лимитов и квот добычи медведя бурого, барсука и выдры на период с 1 августа 2025 года до 1 августа 2026 года на территории Вологодской области, за исключением лимитов и квот добычи охотничьих ресурсов, находящихся на особо охраняемых природных территориях федерального значения"
Номер опубликования: 3500202507160011
Дата опубликования: 16.07.2025
Страница №30 из 33:
Увеличить