Официальное опубликование правовых актов
ОФИЦИАЛЬНОЕ ОПУБЛИКОВАНИЕ
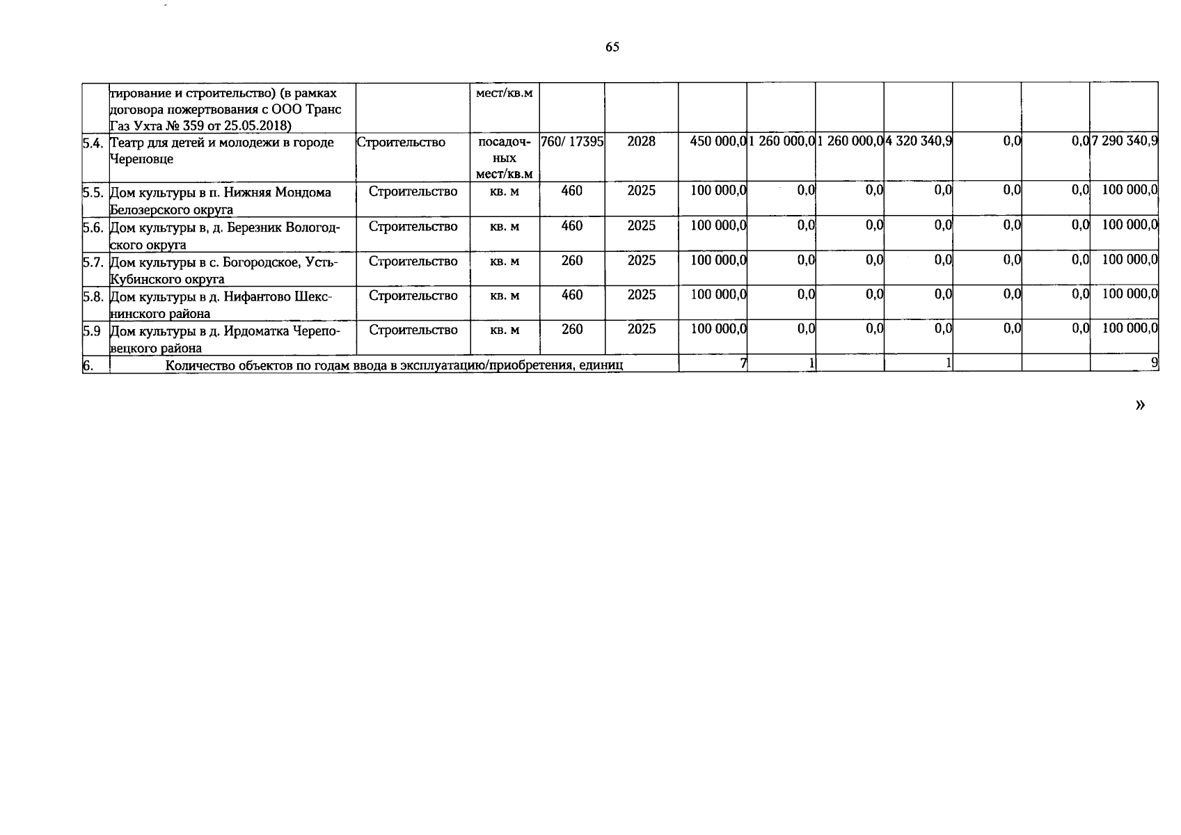
Постановление Правительства Вологодской области от 09.06.2025 № 868
"О внесении изменений в постановление Правительства области от 27 мая 2019 года № 495"
Номер опубликования: 3500202506110016
Дата опубликования: 11.06.2025
Страница №65 из 101:
Увеличить