Официальное опубликование правовых актов
ОФИЦИАЛЬНОЕ ОПУБЛИКОВАНИЕ
Постановление Правительства Вологодской области от 22.05.2025 № 775
"О внесении изменения в постановление Правительства области от 6 мая 2024 года № 550"
Номер опубликования: 3500202505260018
Дата опубликования: 26.05.2025
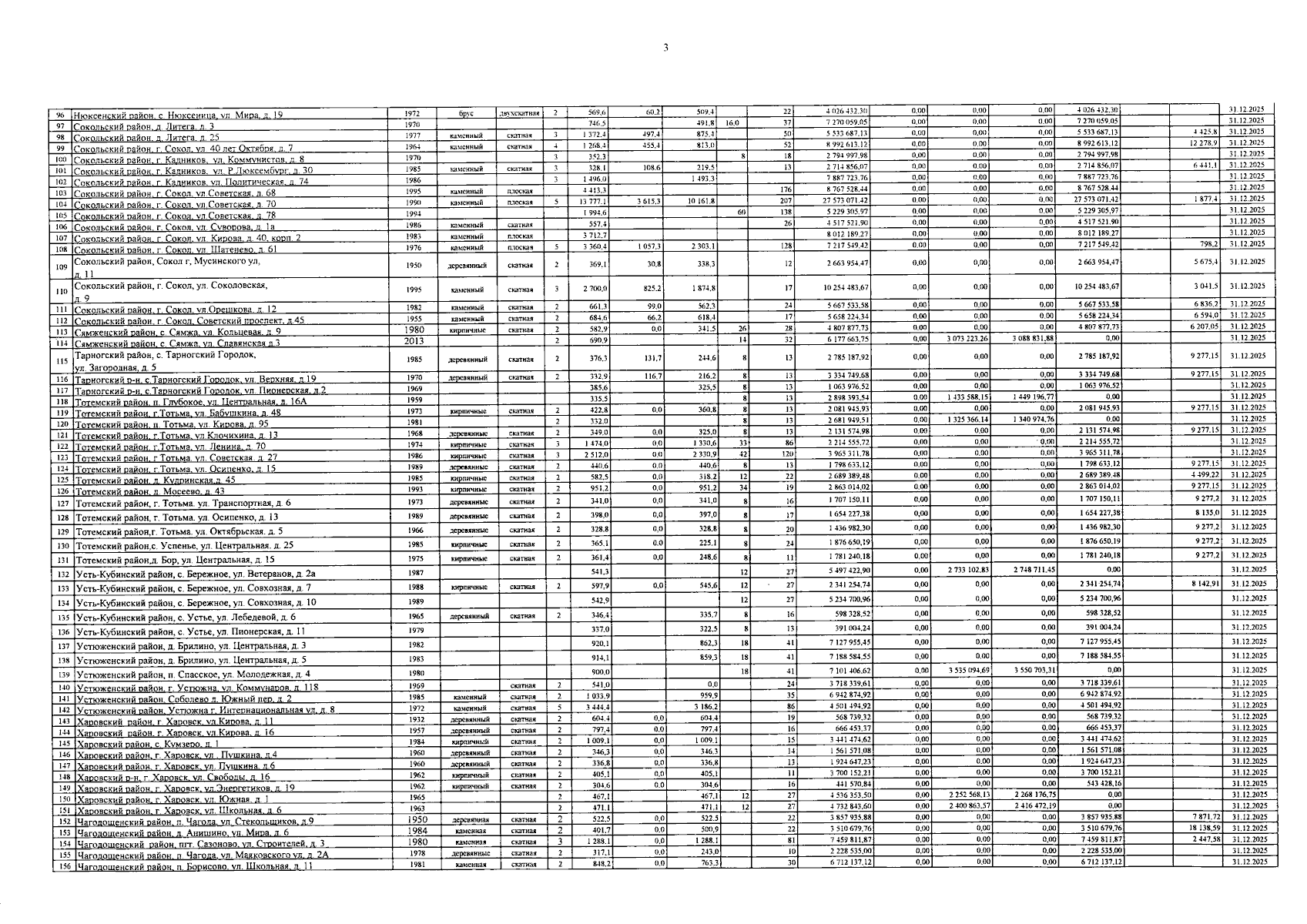
Страница №4 из 24:
Увеличить