Официальное опубликование правовых актов
ОФИЦИАЛЬНОЕ ОПУБЛИКОВАНИЕ
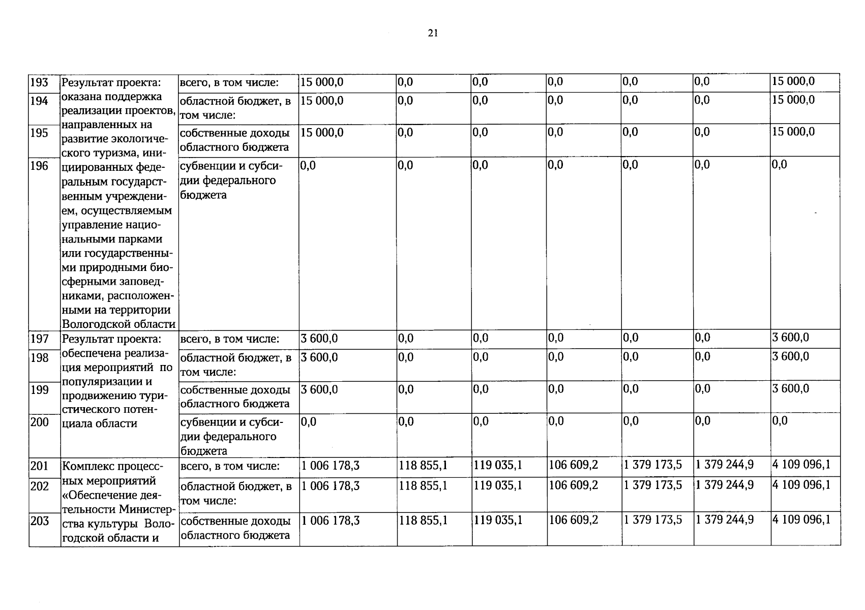
Постановление Правительства Вологодской области от 20.05.2025 № 760
"О финансовом обеспечении мероприятий и о внесении изменений в постановление Правительства области от 27 мая 2019 года № 495"
Номер опубликования: 3500202505230001
Дата опубликования: 23.05.2025
Страница №21 из 126:
Увеличить