Официальное опубликование правовых актов
ОФИЦИАЛЬНОЕ ОПУБЛИКОВАНИЕ
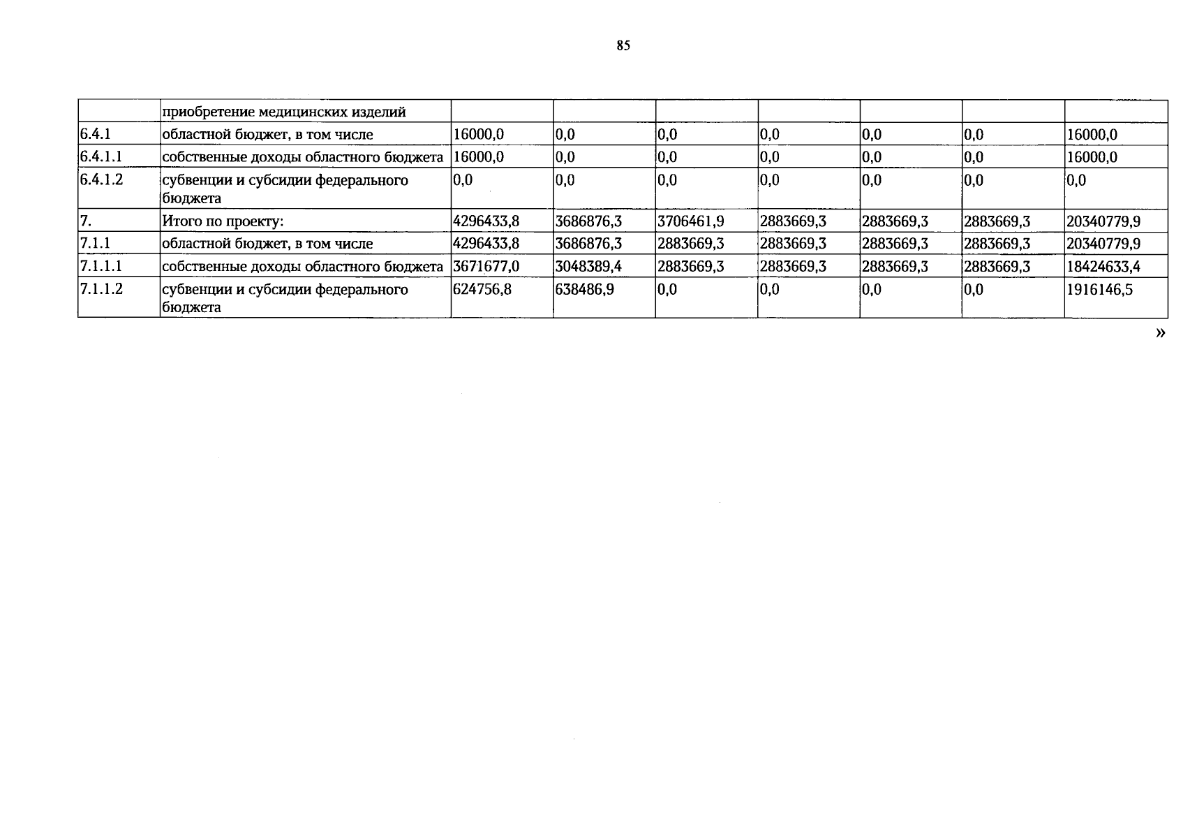
Постановление Правительства Вологодской области от 12.05.2025 № 720
"О внесении изменений в постановление Правительства области от 31 мая 2019 года № 503"
Номер опубликования: 3500202505130002
Дата опубликования: 13.05.2025
Страница №85 из 85:
Увеличить