Официальное опубликование правовых актов
ОФИЦИАЛЬНОЕ ОПУБЛИКОВАНИЕ
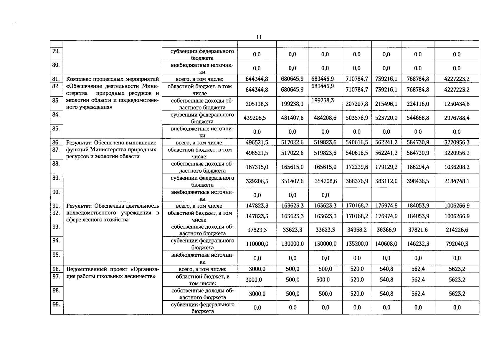
Постановление Правительства Вологодской области от 03.04.2025 № 494
"О внесении изменений в постановление Правительства области от 1 апреля 2019 года № 315"
Номер опубликования: 3500202504040002
Дата опубликования: 04.04.2025
Страница №11 из 32:
Увеличить