Официальное опубликование правовых актов
ОФИЦИАЛЬНОЕ ОПУБЛИКОВАНИЕ
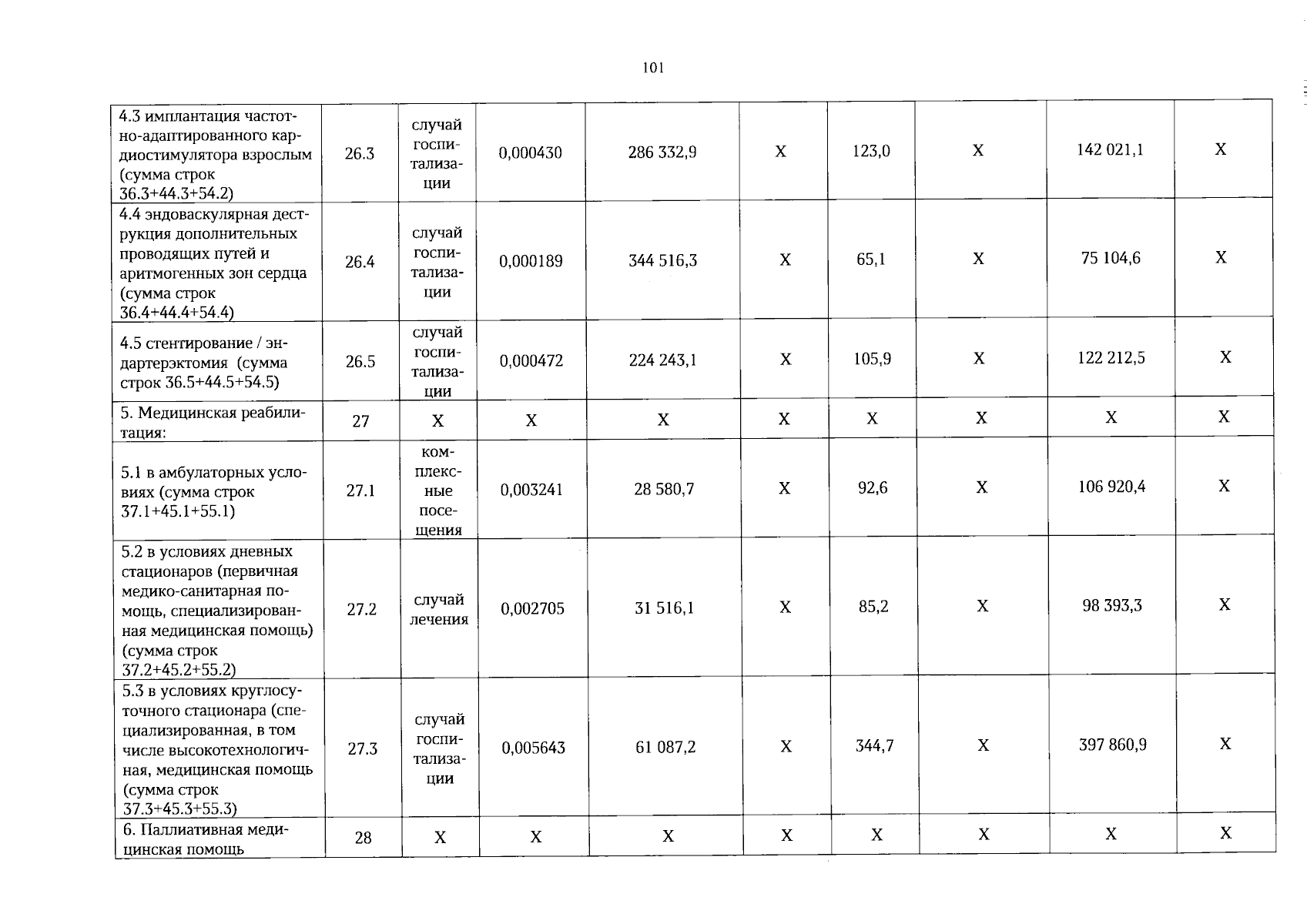
Постановление Правительства Вологодской области от 27.12.2024 № 1662
"Об утверждении Программы государственных гарантий бесплатного оказания гражданам медицинской помощи на территории Вологодской области на 2025 год и на плановый период 2026 и 2027 годов"
Номер опубликования: 3500202412290033
Дата опубликования: 29.12.2024
Страница №101 из 217:
Увеличить