Официальное опубликование правовых актов
ОФИЦИАЛЬНОЕ ОПУБЛИКОВАНИЕ
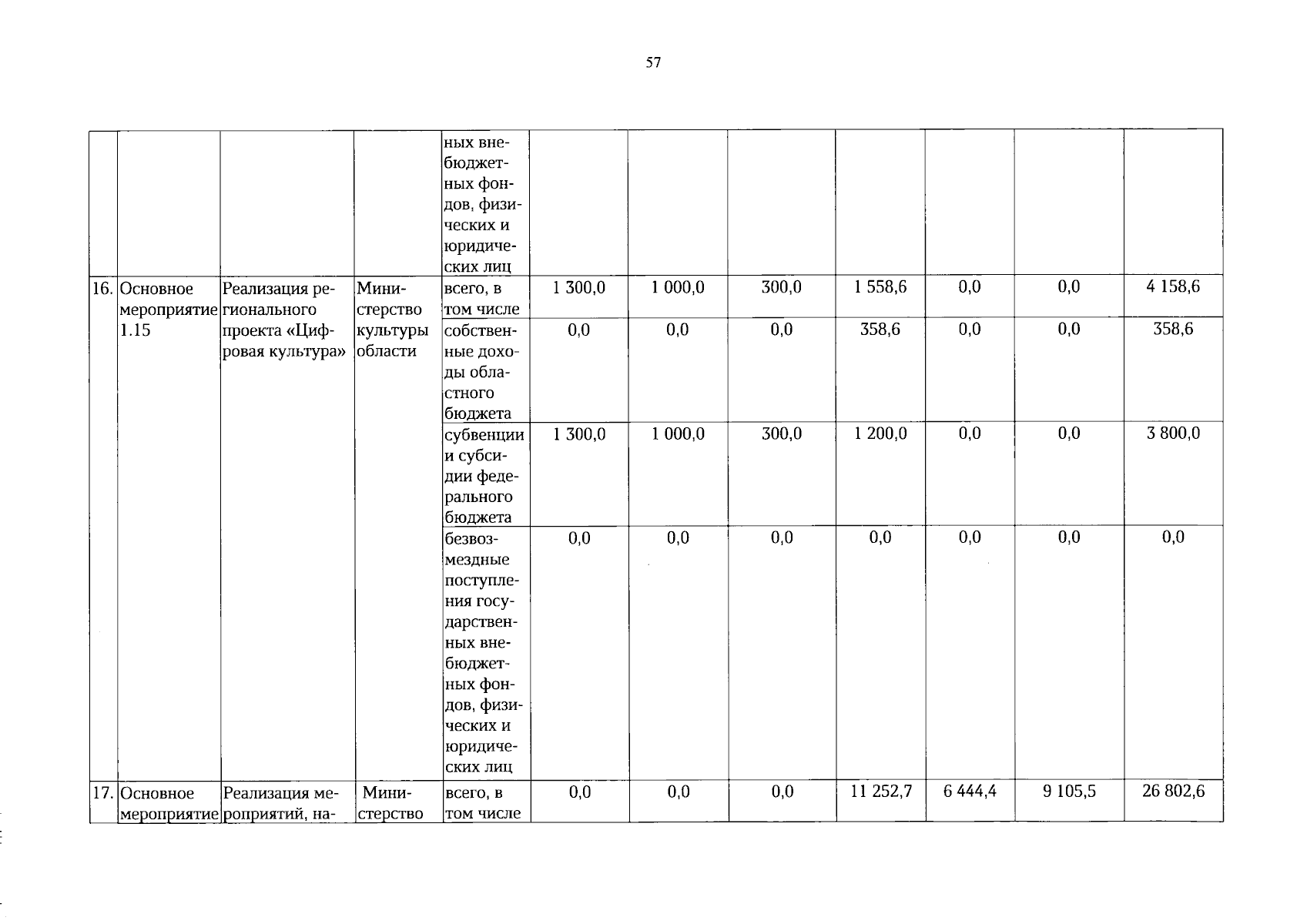
Постановление Правительства Вологодской области от 23.12.2024 № 1573
"О внесении изменений в постановление Правительства области от 27 мая 2019 года № 495"
Номер опубликования: 3500202412260005
Дата опубликования: 26.12.2024
Страница №57 из 70:
Увеличить