Официальное опубликование правовых актов
ОФИЦИАЛЬНОЕ ОПУБЛИКОВАНИЕ
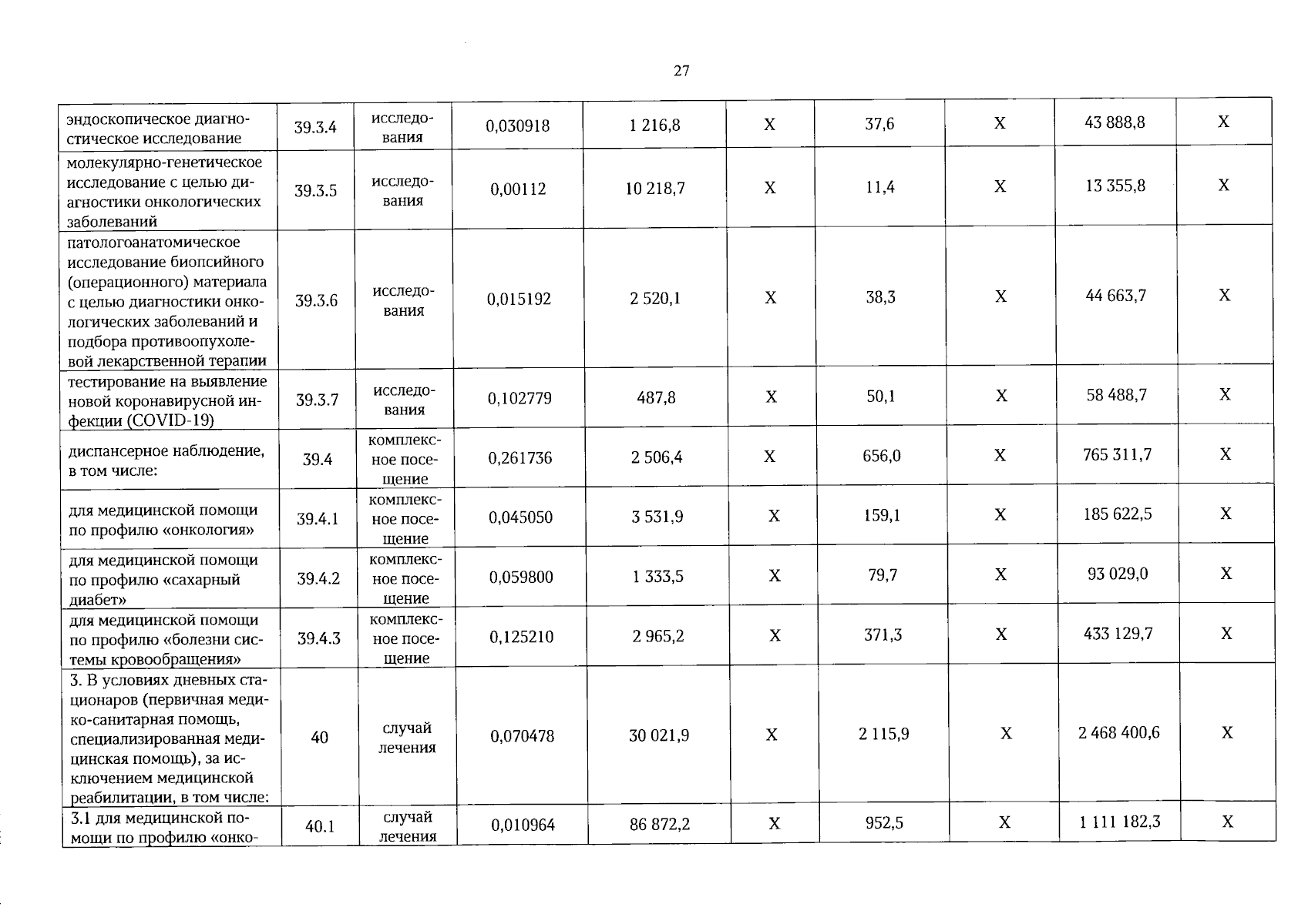
Постановление Правительства Вологодской области от 02.12.2024 № 1423
"О внесении изменений в постановление Правительства области от 28 декабря 2023 года № 1444"
Номер опубликования: 3500202412050003
Дата опубликования: 05.12.2024
Страница №27 из 43:
Увеличить