Официальное опубликование правовых актов
ОФИЦИАЛЬНОЕ ОПУБЛИКОВАНИЕ
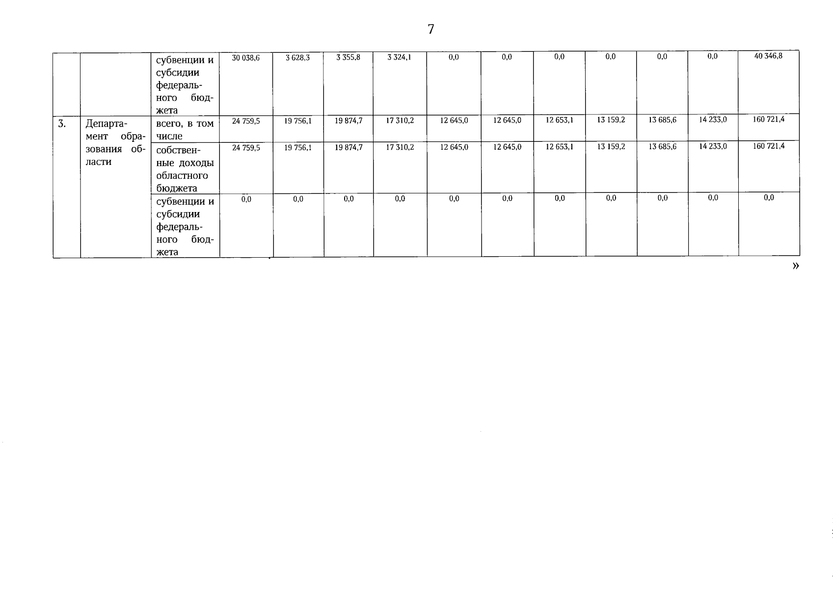
Постановление Правительства Вологодской области от 18.11.2024 № 1368
"О внесении изменений в постановление Правительства области от 1 апреля 2019 года № 314"
Номер опубликования: 3500202411200009
Дата опубликования: 20.11.2024
Страница №7 из 20:
Увеличить