Официальное опубликование правовых актов
ОФИЦИАЛЬНОЕ ОПУБЛИКОВАНИЕ
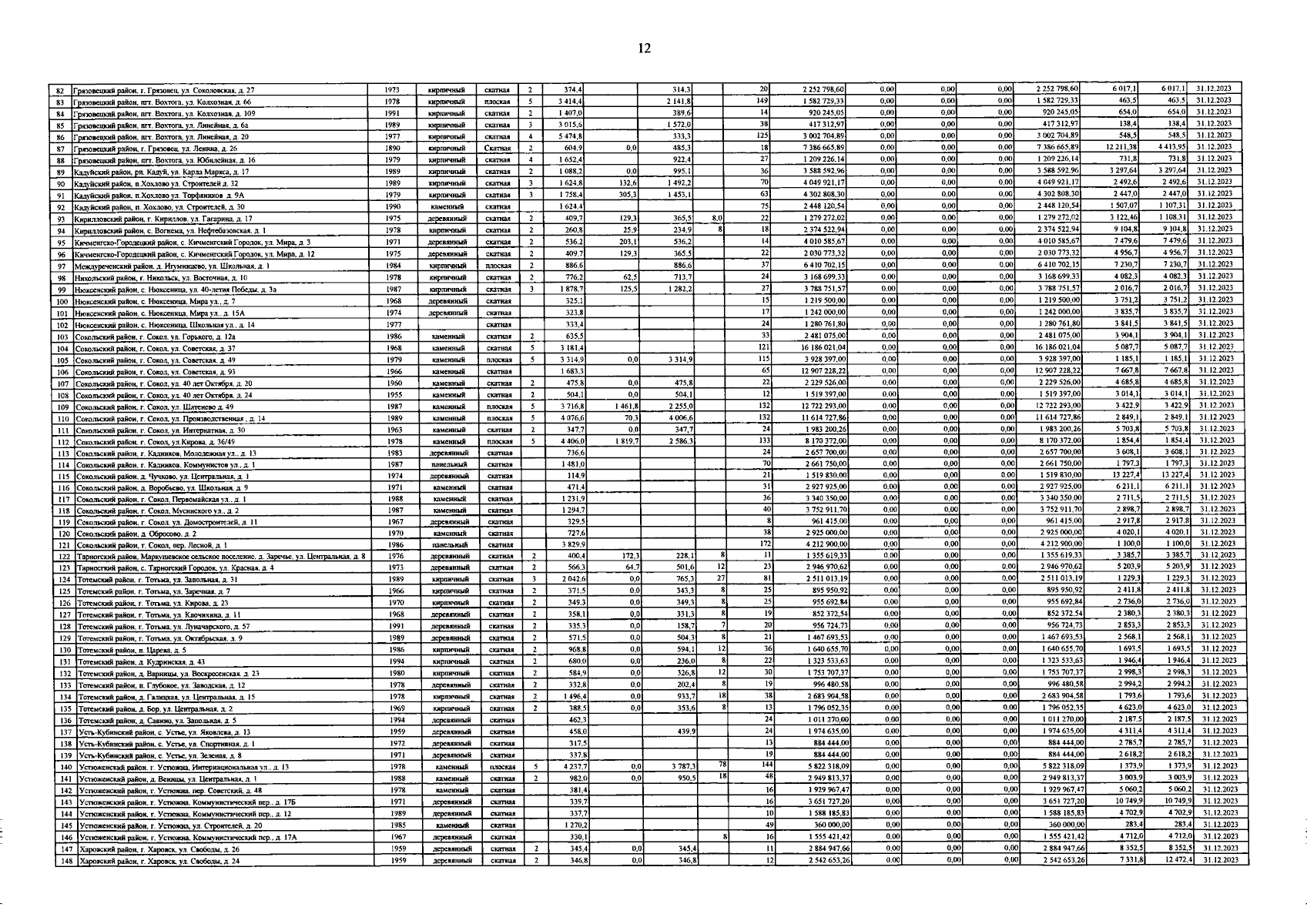
Постановление Правительства Вологодской области от 18.09.2024 № 1139
"О внесение изменения в постановление Правительства области от 22 марта 2021 года № 324"
Номер опубликования: 3500202409230015
Дата опубликования: 23.09.2024
Страница №12 из 71:
Увеличить