Официальное опубликование правовых актов
ОФИЦИАЛЬНОЕ ОПУБЛИКОВАНИЕ
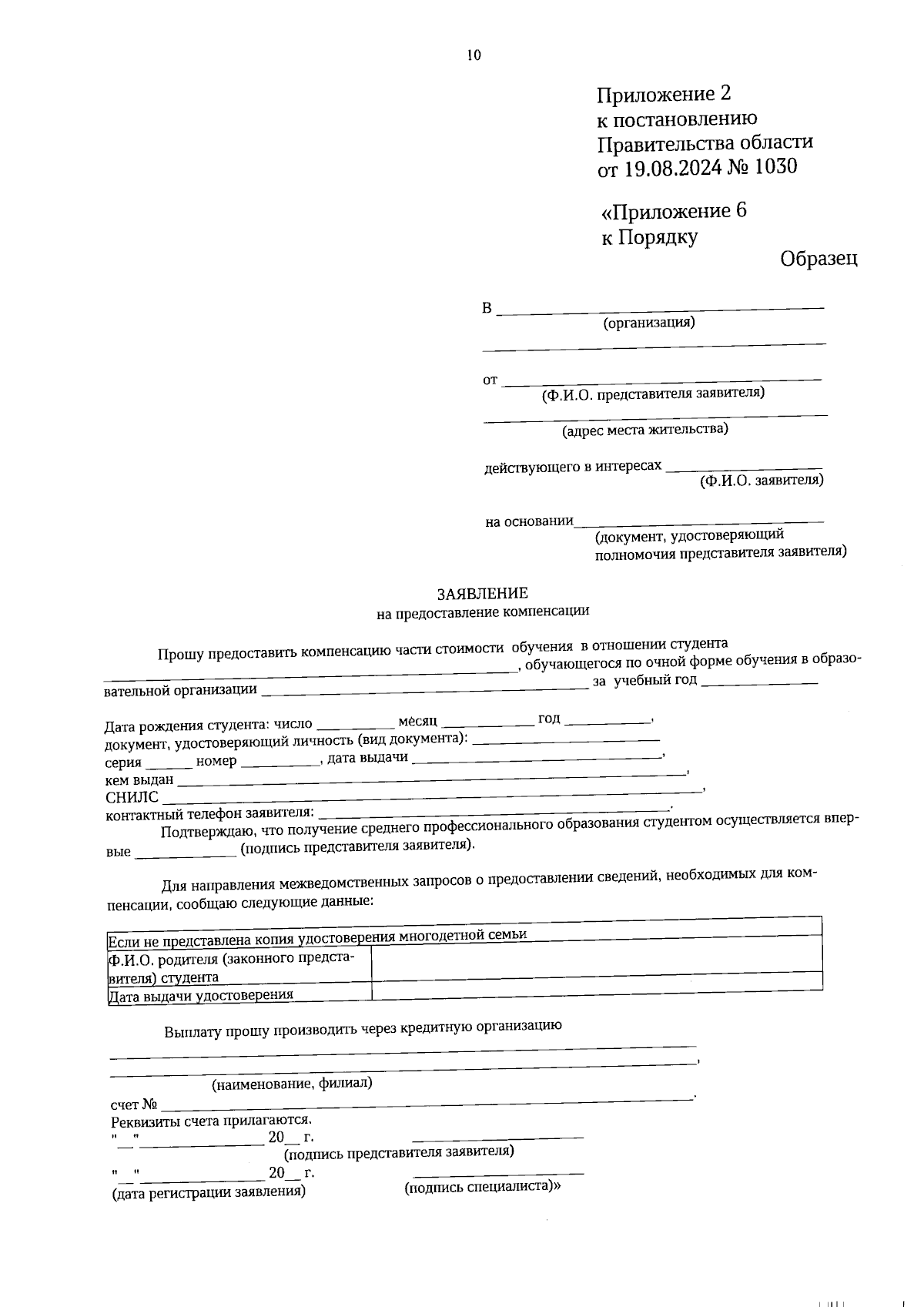
Постановление Правительства Вологодской области от 19.08.2024 № 1030
"О внесении изменений в постановление Правительства области от 13 июня 2017 года № 530"
Номер опубликования: 3500202408200001
Дата опубликования: 20.08.2024
Страница №10 из 11:
Увеличить