Официальное опубликование правовых актов
ОФИЦИАЛЬНОЕ ОПУБЛИКОВАНИЕ
Постановление Правительства Вологодской области от 26.07.2024 № 920
"О внесении изменения в постановление Правительства области от 27 мая 2019 года № 491"
Номер опубликования: 3500202408020035
Дата опубликования: 02.08.2024
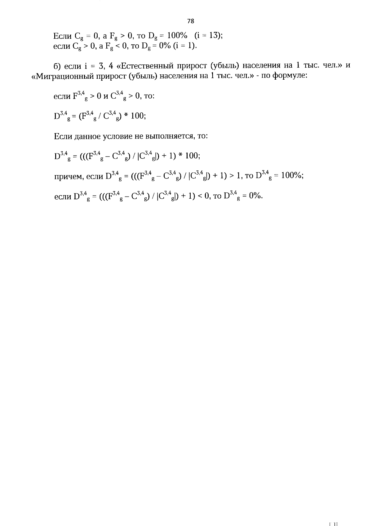
Страница №78 из 173:
Увеличить