Официальное опубликование правовых актов
ОФИЦИАЛЬНОЕ ОПУБЛИКОВАНИЕ
Постановление Губернатора Вологодской области от 11.07.2024 № 218
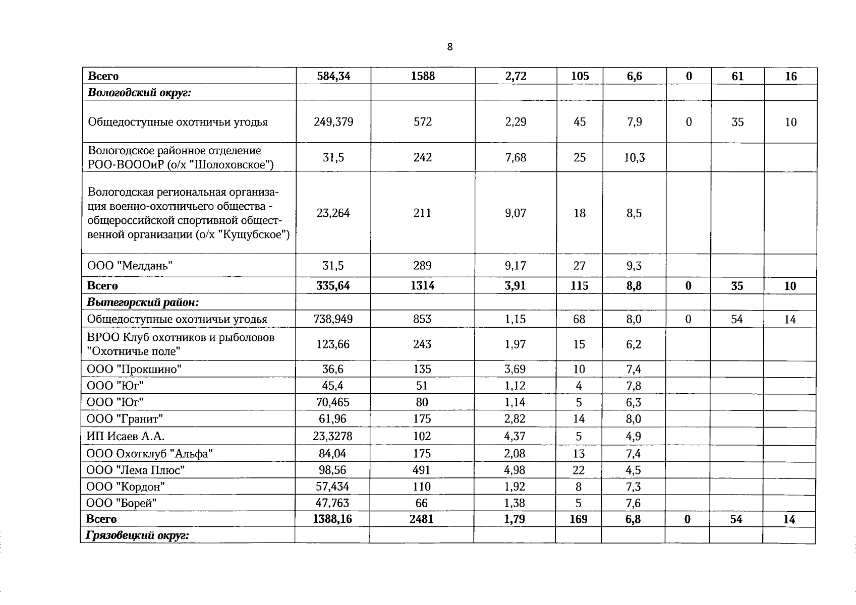
"Об утверждении лимитов и квот добычи лося и рыси на период с 1 августа 2024 года до 1 августа 2025 года на территории Вологодской области, за исключением лимитов и квот добычи охотничьих ресурсов, находящихся на особо охраняемых природных территориях федерального значения"
Номер опубликования: 3500202407110003
Дата опубликования: 11.07.2024
Страница №8 из 26:
Увеличить