Официальное опубликование правовых актов
ОФИЦИАЛЬНОЕ ОПУБЛИКОВАНИЕ
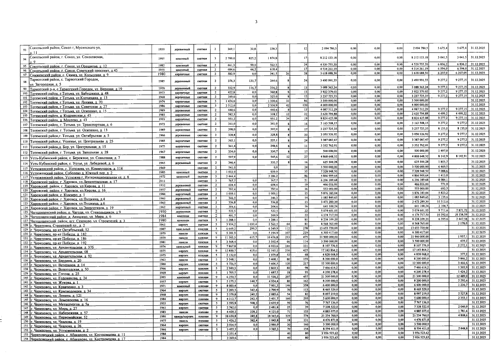
Постановление Правительства Вологодской области от 06.05.2024 № 550
"Об утверждении краткосрочного плана реализации Областной программы капитального ремонта общего имущества в многоквартирных домах на территории Вологодской области на 2025-2027 годы"
Номер опубликования: 3500202405070013
Дата опубликования: 07.05.2024
Страница №4 из 25:
Увеличить