Официальное опубликование правовых актов
ОФИЦИАЛЬНОЕ ОПУБЛИКОВАНИЕ
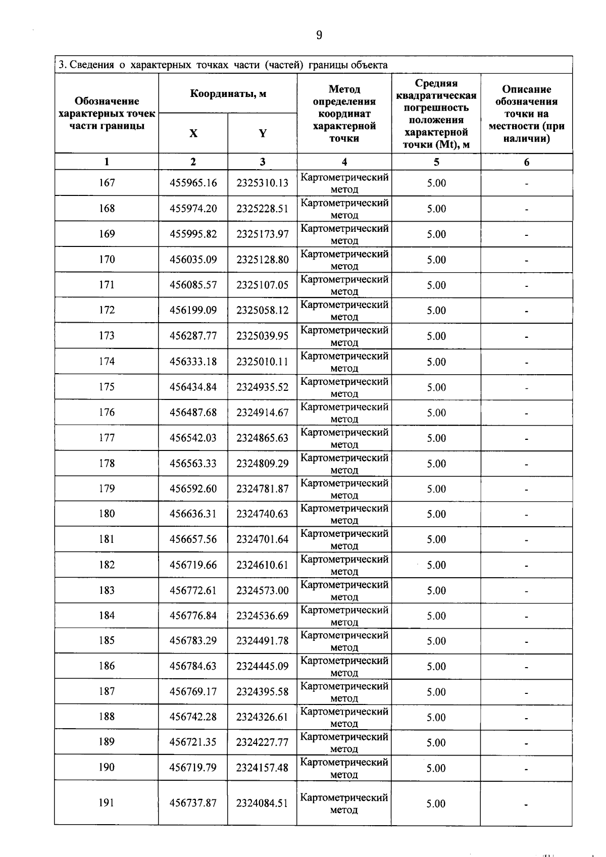
Постановление Правительства Вологодской области от 06.03.2024 № 262
"О внесении изменений в некоторые постановления Правительства области"
Номер опубликования: 3500202403110008
Дата опубликования: 11.03.2024
Страница №18 из 96:
Увеличить