Официальное опубликование правовых актов
ОФИЦИАЛЬНОЕ ОПУБЛИКОВАНИЕ
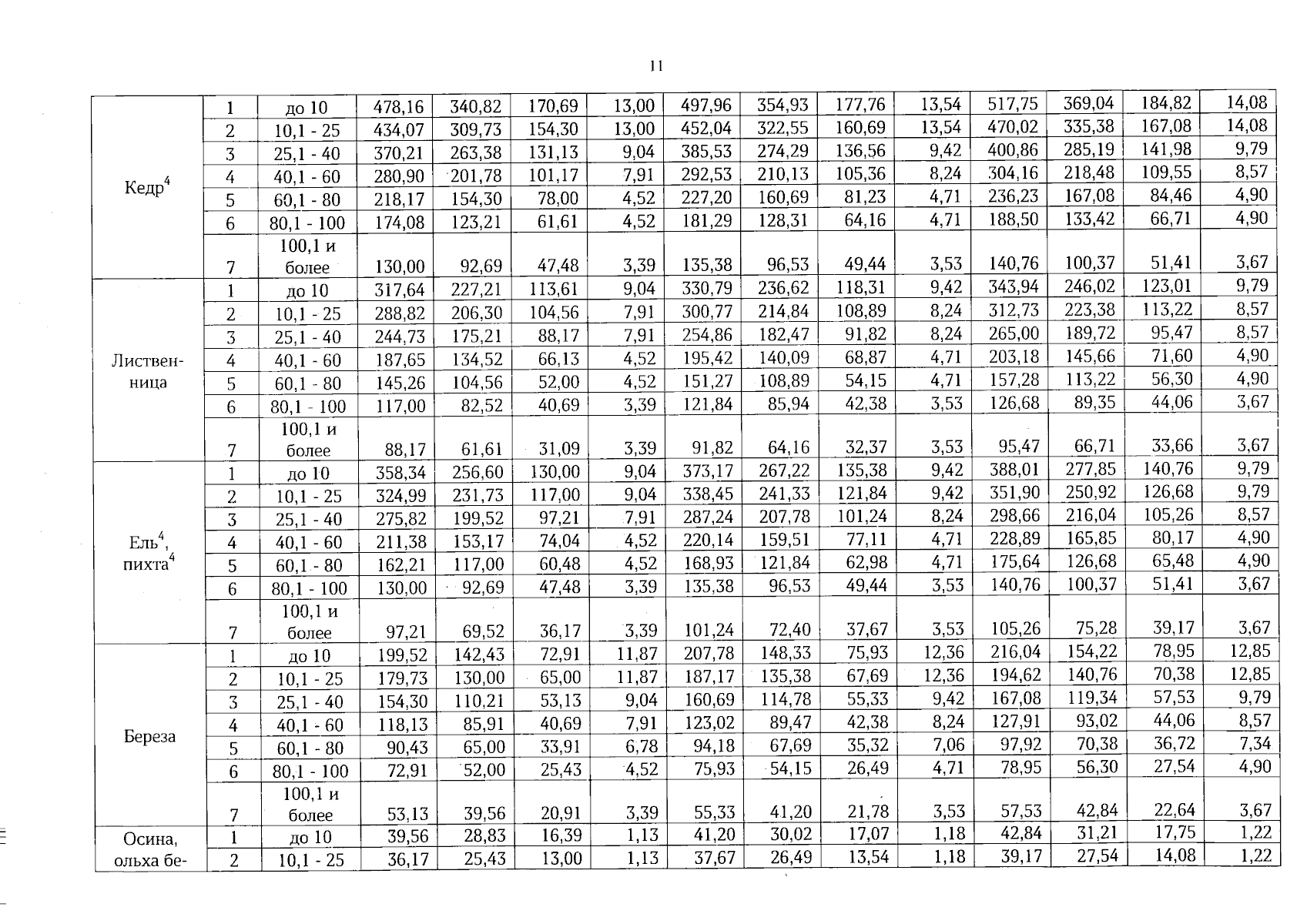
Постановление Правительства Вологодской области от 07.02.2024 № 131
"О внесении изменений в постановление Правительства области от 16 апреля 2007 года № 501"
Номер опубликования: 3500202402090008
Дата опубликования: 09.02.2024
Страница №11 из 14:
Увеличить