Официальное опубликование правовых актов
ОФИЦИАЛЬНОЕ ОПУБЛИКОВАНИЕ
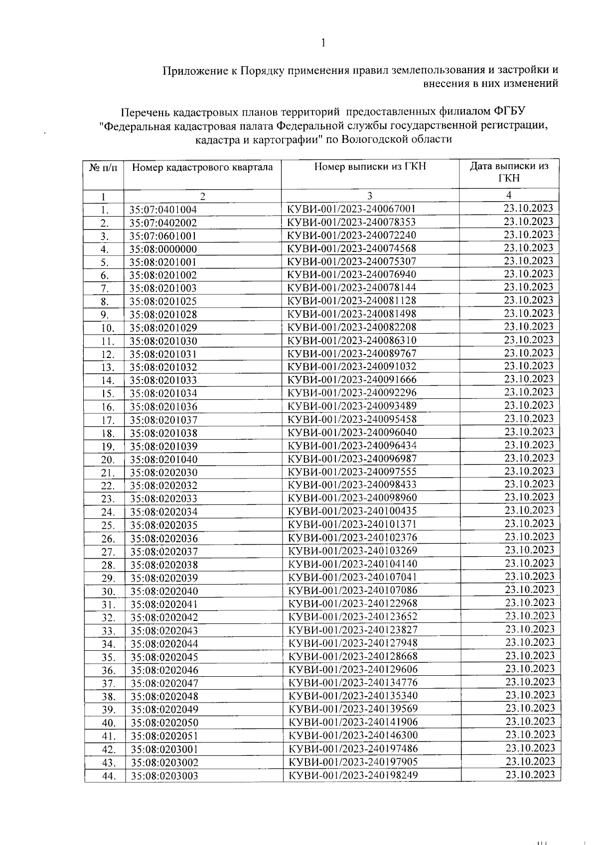
Постановление Правительства Вологодской области от 31.01.2024 № 97
"Об утверждении правил землепользования и застройки Тарногского муниципального округа Вологодской области применительно к территории в административных границах Заборского, Лохотского сельсоветов, Маркушевского, Раменского сельсоветов, Верхнеспасского, Нижнеспасского сельсоветов Тарногского района"
Номер опубликования: 3500202402010010
Дата опубликования: 01.02.2024
Страница №19 из 221:
Увеличить