Официальное опубликование правовых актов
ОФИЦИАЛЬНОЕ ОПУБЛИКОВАНИЕ
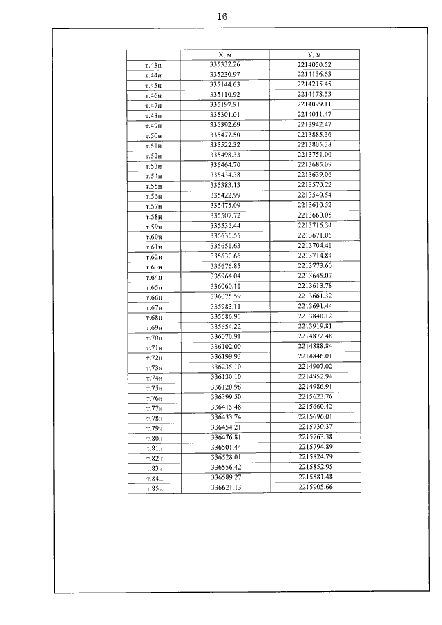
Постановление Правительства Вологодской области от 26.12.2016 № 1211
"Об утверждении проекта планировки и проекта межевания территории для строительства линейного объекта регионального значения "Мостовой переход через р. Шексну в створе ул. Архангельской" в г. Череповце"
Номер опубликования: 3500201612270024
Дата опубликования: 27.12.2016
Страница №18 из 42:
Увеличить