Официальное опубликование правовых актов
ОФИЦИАЛЬНОЕ ОПУБЛИКОВАНИЕ
Постановление Правительства Вологодской области от 12.12.2016 № 1129
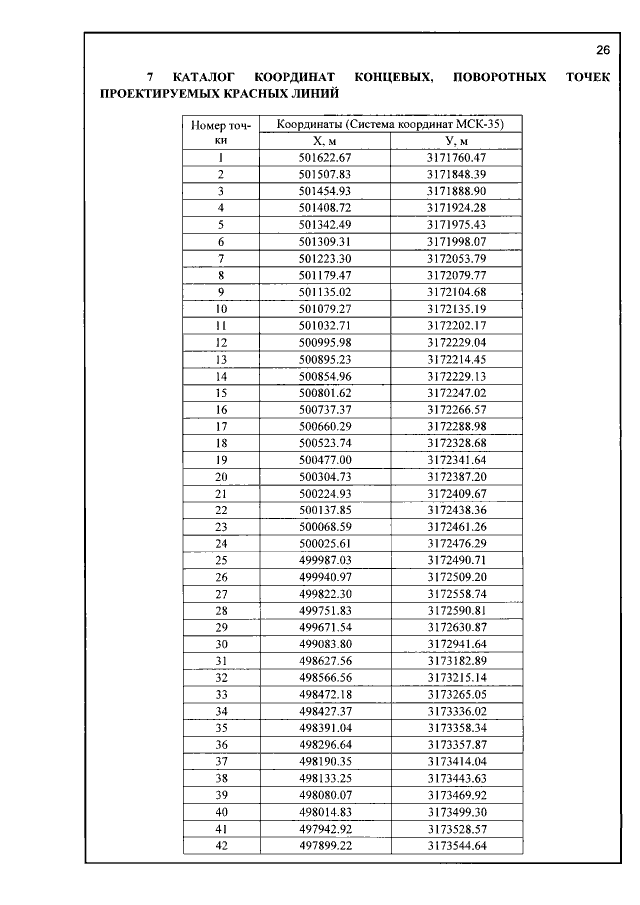
"Об утверждении проекта планировки и проекта межевания территории для размещения линейного объекта регионального значения "Строительство автодороги Вожега – Ерцево, участок Вожега – Михеевская, в Вожегодском районе Вологодской области. III – IV пусковые комплексы"
Номер опубликования: 3500201612130016
Дата опубликования: 13.12.2016
Страница №27 из 78:
Увеличить