Официальное опубликование правовых актов
ОФИЦИАЛЬНОЕ ОПУБЛИКОВАНИЕ
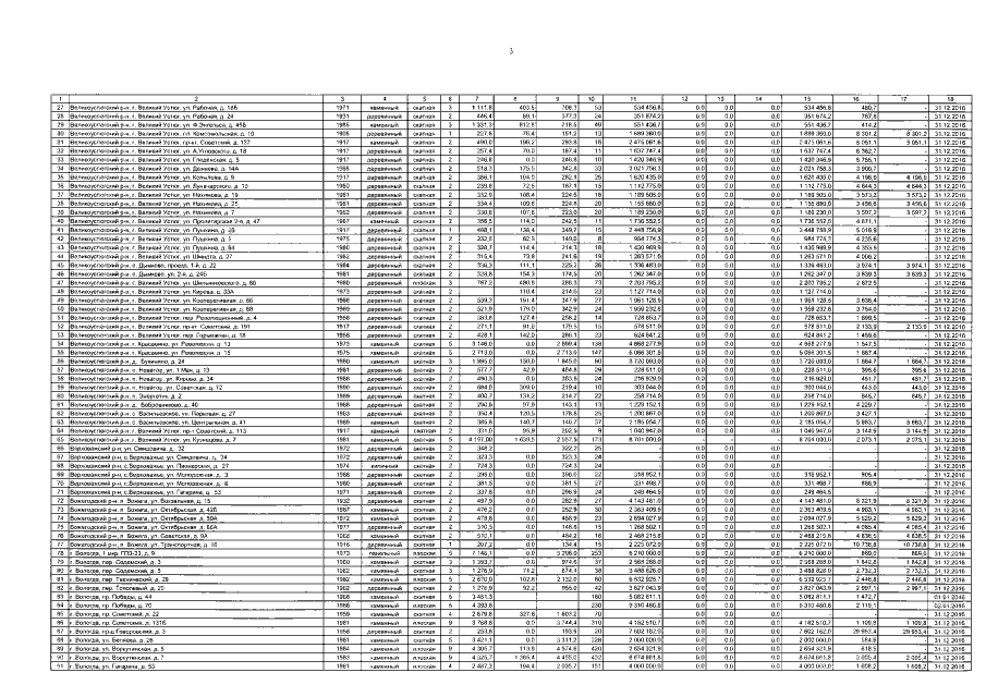
Постановление Правительства Вологодской области от 24.10.2016 № 959
"О внесении изменений в постановление Правительства области от 8 февраля 2016 года № 100"
Номер опубликования: 3500201610270001
Дата опубликования: 27.10.2016
Страница №3 из 47:
Увеличить