Официальное опубликование правовых актов
ОФИЦИАЛЬНОЕ ОПУБЛИКОВАНИЕ
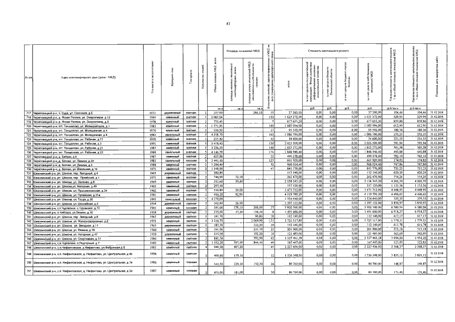
Постановление Правительства Вологодской области от 15.08.2016 № 737
"О внесении изменений в постановление Правительства области от 8 февраля 2016 года № 100"
Номер опубликования: 3500201608160008
Дата опубликования: 16.08.2016
Страница №43 из 70:
Увеличить