Официальное опубликование правовых актов
ОФИЦИАЛЬНОЕ ОПУБЛИКОВАНИЕ
Постановление Правительства Вологодской области от 20.06.2016 № 539
"О внесении изменений в постановление Правительства области от 29 апреля 2013 года № 484"
Номер опубликования: 3500201606240004
Дата опубликования: 24.06.2016
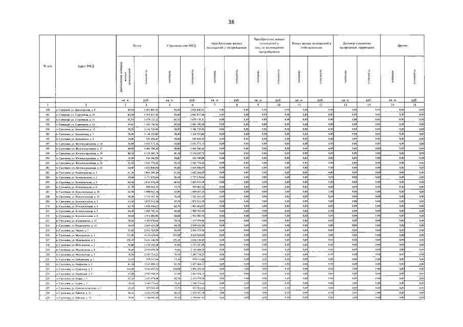
Страница №38 из 64:
Увеличить