Официальное опубликование правовых актов
ОФИЦИАЛЬНОЕ ОПУБЛИКОВАНИЕ
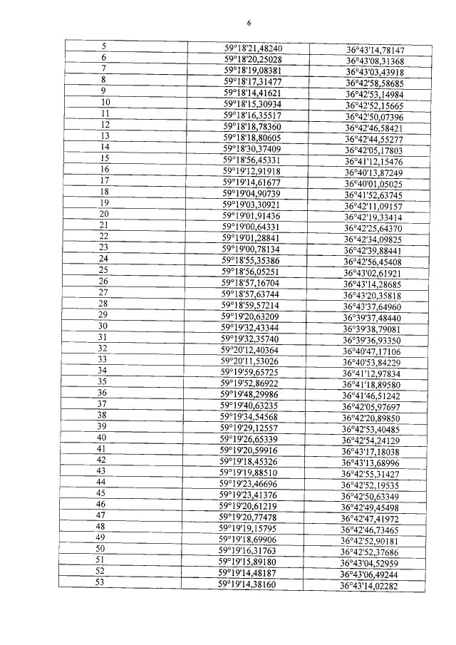
Постановление Правительства Вологодской области от 04.05.2016 № 398
"О внесении изменений в постановление Правительства области от 8 сентября 2006 года № 878"
Номер опубликования: 3500201605060010
Дата опубликования: 06.05.2016
Страница №6 из 7:
Увеличить