Официальное опубликование правовых актов
ОФИЦИАЛЬНОЕ ОПУБЛИКОВАНИЕ
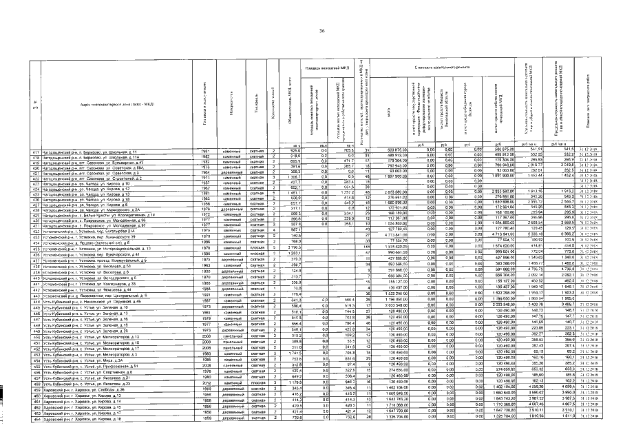
Постановление Правительства Вологодской области от 08.02.2016 № 100
"Об утверждении краткосрочного плана реализации Областной программы капитального ремонта общего имущества в многоквартирных домах на территории Вологодской области на 2016-2018 годы"
Номер опубликования: 3500201602090009
Дата опубликования: 09.02.2016
Страница №36 из 70:
Увеличить