Официальное опубликование правовых актов
ОФИЦИАЛЬНОЕ ОПУБЛИКОВАНИЕ
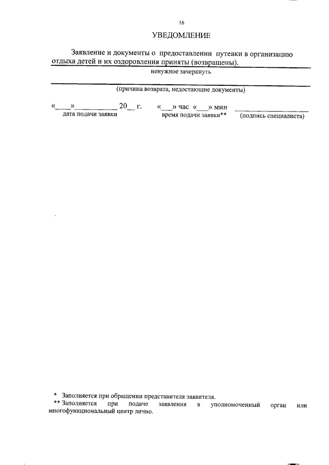
Постановление Правительства Вологодской области от 14.12.2015 № 1082
"Об утверждении Порядков предоставления путевок для детей-сирот и детей, оставшихся без попечения родителей, в санаторно-курортные и иные организации, осуществляющие санаторно-курортную деятельность, полной оплаты стоимости путевок в организации отдыха детей и их оздоровления для детей-сирот и детей, оставшихся без попечения родителей, оплаты стоимости проезда на междугородном транспорте организованных групп детей-сирот и детей, оставшихся без попечения родителей, к месту отдыха и обратно"
Номер опубликования: 3500201512150010
Дата опубликования: 15.12.2015
Страница №16 из 27:
Увеличить