Официальное опубликование правовых актов
ОФИЦИАЛЬНОЕ ОПУБЛИКОВАНИЕ
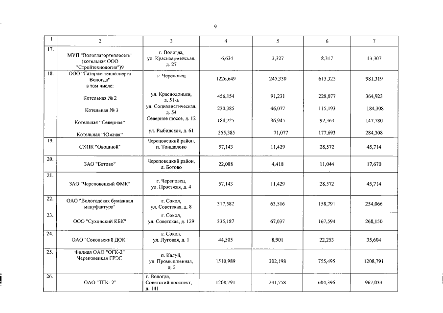
Постановление Правительства Вологодской области от 23.11.2015 № 980
"Об утверждении графиков перевода организаций области на резервные виды топлива при похолоданиях и аварийного газоснабжения области в I квартале 2016 года"
Номер опубликования: 3500201511240008
Дата опубликования: 24.11.2015
Страница №9 из 14:
Увеличить