Официальное опубликование правовых актов
ОФИЦИАЛЬНОЕ ОПУБЛИКОВАНИЕ
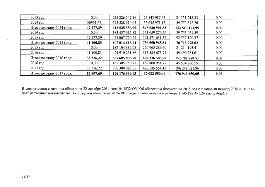
Постановление Правительства Вологодской области от 12.05.2015 № 398
"О внесении изменений в постановление Правительства области от 23 мая 2013 года № 526"
Номер опубликования: 3500201505180002
Дата опубликования: 18.05.2015
Страница №7 из 11:
Увеличить