Официальное опубликование правовых актов
ОФИЦИАЛЬНОЕ ОПУБЛИКОВАНИЕ
Приказ комитета государственной охраны объектов культурного наследия Волгоградской области от 27.01.2026 № 8-н
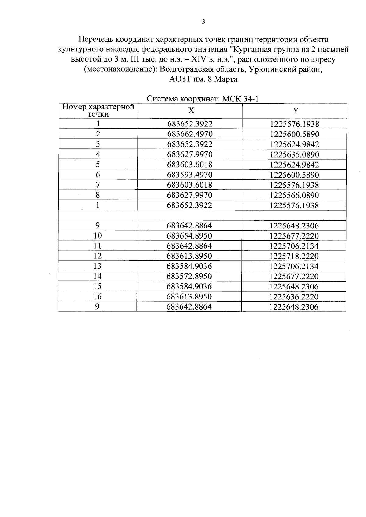
"Об утверждении границ и режима использования территории объектов культурного наследия федерального значения, являющихся памятниками археологии, расположенных на территории Старополтавского и Урюпинского районов Волгоградской области"
Номер опубликования: 3401202601280003
Дата опубликования: 28.01.2026
Страница №27 из 38:
Увеличить