Официальное опубликование правовых актов
ОФИЦИАЛЬНОЕ ОПУБЛИКОВАНИЕ
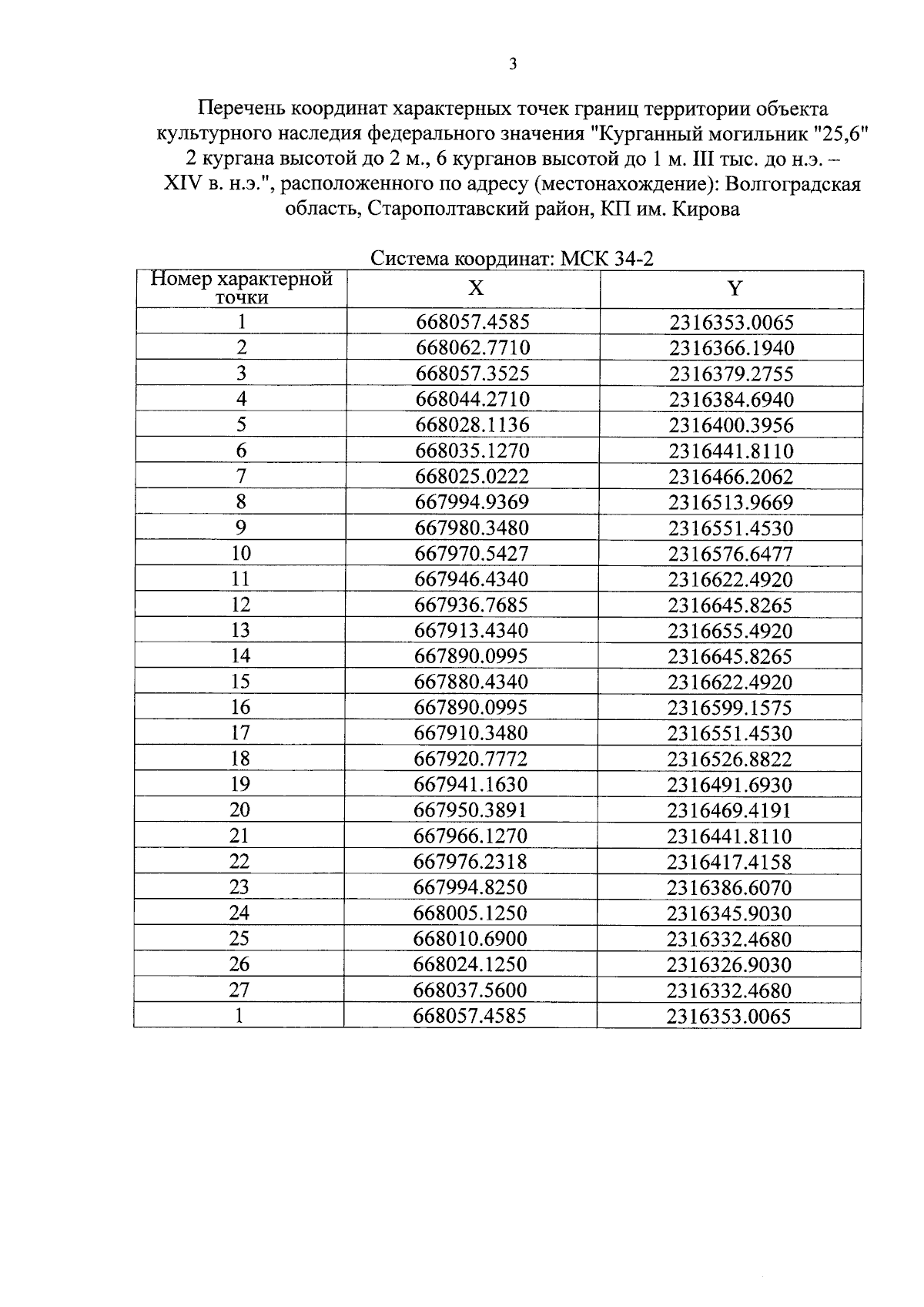
Приказ комитета государственной охраны объектов культурного наследия Волгоградской области от 22.12.2025 № 113-н
"Об утверждении границ и режима использования территории объектов культурного наследия федерального значения, являющихся памятниками археологии, расположенных на территории Урюпинского и Старополтавского районов Волгоградской области"
Номер опубликования: 3401202512240080
Дата опубликования: 24.12.2025
Страница №14 из 36:
Увеличить