Официальное опубликование правовых актов
ОФИЦИАЛЬНОЕ ОПУБЛИКОВАНИЕ
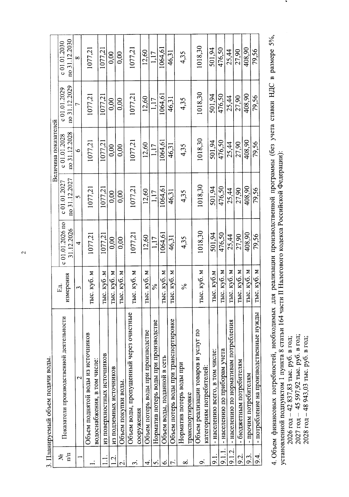
Приказ комитета тарифного регулирования Волгоградской области от 18.12.2025 № 49/91
"Об установлении тарифов на питьевую воду (питьевое водоснабжение), техническую воду и водоотведение для потребителей муниципального унитарного предприятия "Среднеахтубинские Тепловые сети" городского поселения рабочий поселок Средняя Ахтуба Среднеахтубинского муниципального района Волгоградской области"
Номер опубликования: 3401202512230068
Дата опубликования: 23.12.2025
Страница №6 из 16:
Увеличить