Официальное опубликование правовых актов
ОФИЦИАЛЬНОЕ ОПУБЛИКОВАНИЕ
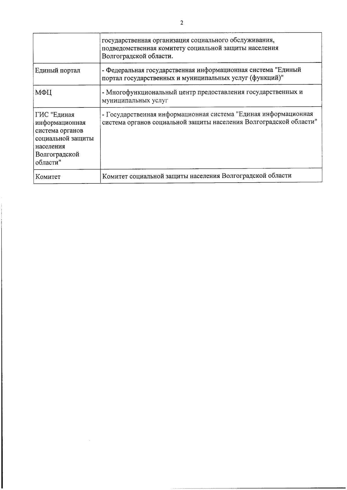
Приказ комитета социальной защиты населения Волгоградской области от 27.11.2025 № 2465
"Об утверждении административного регламента предоставления государственной услуги "Предоставление компенсации расходов на оплату жилого помещения и коммунальных услуг работникам организаций социального обслуживания, подведомственных комитету социальной защиты населения Волгоградской области, и отдельным категориям граждан, вышедших на пенсию, проживающих и проработавших не менее десяти лет в сельских населенных пунктах, рабочих поселках (поселках городского типа) в Волгоградской области"
Номер опубликования: 3401202511280005
Дата опубликования: 28.11.2025
Страница №17 из 32:
Увеличить