Официальное опубликование правовых актов
ОФИЦИАЛЬНОЕ ОПУБЛИКОВАНИЕ
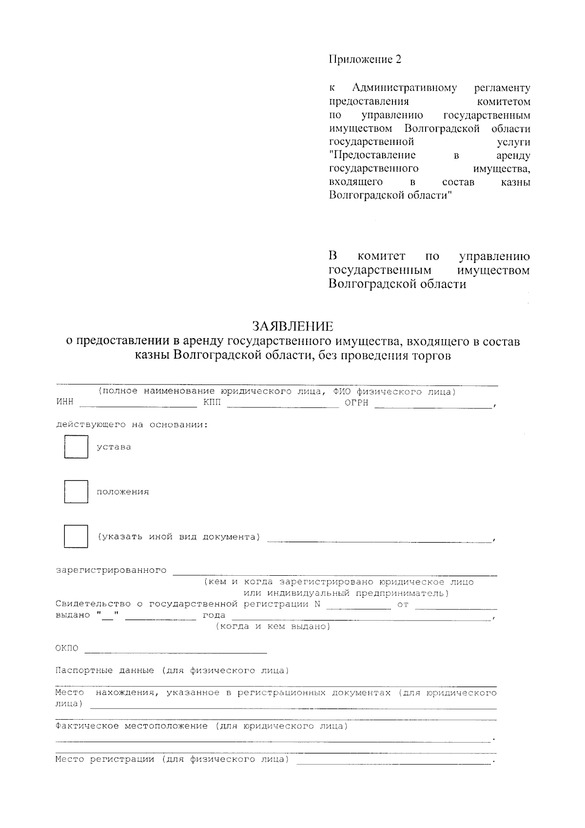
Приказ комитета по управлению государственным имуществом Волгоградской области от 21.08.2025 № 62-н
"Об утверждении Административного регламента предоставления комитетом по управлению государственным имуществом Волгоградской области государственной услуги "Предоставление в аренду государственного имущества, входящего в состав казны Волгоградской области"
Номер опубликования: 3401202508220001
Дата опубликования: 22.08.2025
Страница №36 из 40:
Увеличить