Официальное опубликование правовых актов
ОФИЦИАЛЬНОЕ ОПУБЛИКОВАНИЕ
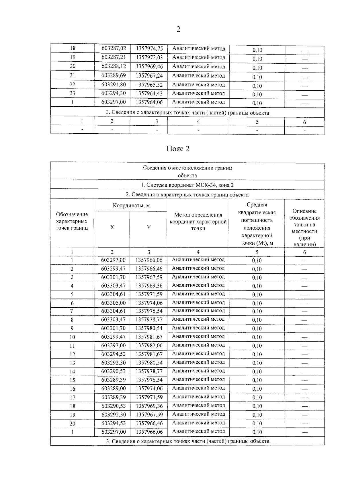
Приказ комитета природных ресурсов, лесного хозяйства и экологии Волгоградской области от 25.07.2025 № 964-ОД
"Об утверждении решения об установлении зоны санитарной охраны водозаборной скважины № 04407 (кадастровый номер: 34:32:030003:1545) для питьевых и хозяйственно-бытовых целей, расположенной по адресу: Волгоградская область, Фроловский район, х. Амелино"
Номер опубликования: 3401202507280008
Дата опубликования: 28.07.2025
Страница №8 из 10:
Увеличить