Официальное опубликование правовых актов
ОФИЦИАЛЬНОЕ ОПУБЛИКОВАНИЕ
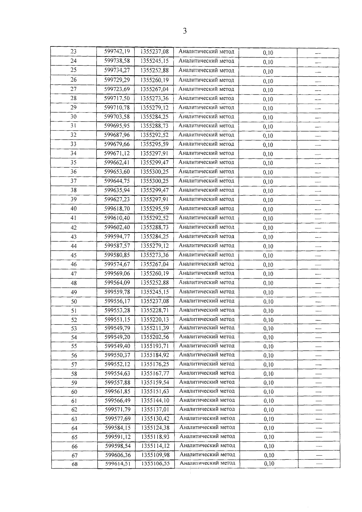
Приказ комитета природных ресурсов, лесного хозяйства и экологии Волгоградской области от 25.07.2025 № 965-ОД
"Об утверждении решения об установлении зоны санитарной охраны водозаборной скважины № 0421 (кадастровый номер: 34:32:020001:1174) для питьевых и хозяйственно-бытовых целей, расположенной по адресу: Волгоградская область, Фроловский район, х. Терновка"
Номер опубликования: 3401202507280007
Дата опубликования: 28.07.2025
Страница №9 из 10:
Увеличить