Официальное опубликование правовых актов
ОФИЦИАЛЬНОЕ ОПУБЛИКОВАНИЕ
Приказ комитета природных ресурсов, лесного хозяйства и экологии Волгоградской области от 25.07.2025 № 966-ОД
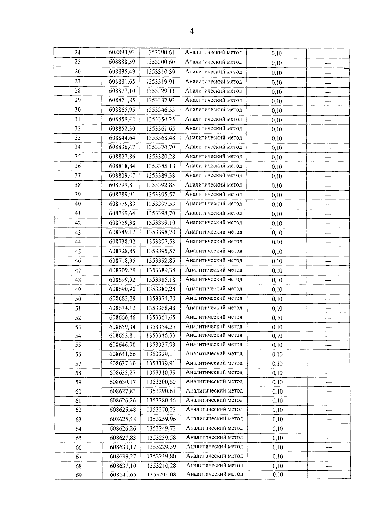
"Об утверждении решения об установлении зоны санитарной охраны водозаборной скважины № 7363 (кадастровый номер: 34:32:080001:1441) для питьевых и хозяйственно-бытовых целей, расположенной по адресу: Волгоградская область, Фроловский район, п. Лычак"
Номер опубликования: 3401202507280006
Дата опубликования: 28.07.2025
Страница №10 из 11:
Увеличить