Официальное опубликование правовых актов
ОФИЦИАЛЬНОЕ ОПУБЛИКОВАНИЕ
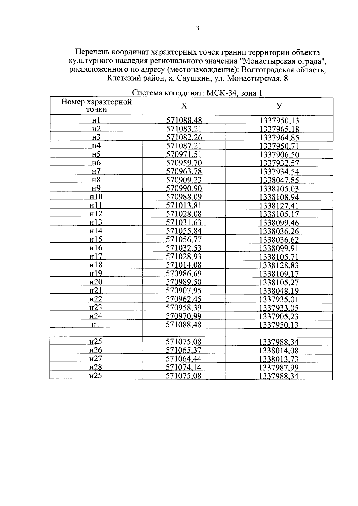
Приказ комитета государственной охраны объектов культурного наследия Волгоградской области от 03.06.2025 № 56-н
"Об утверждении границ и режимов использования территории объектов культурного наследия регионального значения, расположенных на территории городского округа город-герой Волгоград и Клетского района Волгоградской области"
Номер опубликования: 3401202506040001
Дата опубликования: 04.06.2025
Страница №35 из 36:
Увеличить