Приказ комитета тарифного регулирования Волгоградской области от 21.05.2025 № 17/3
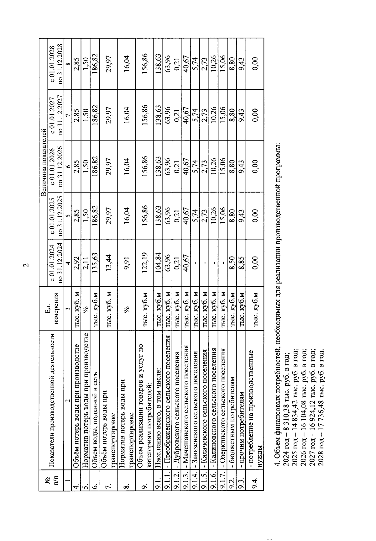
"О внесении изменений в приказ комитета тарифного регулирования Волгоградской области от 19 декабря 2023 г. № 51/41 "Об установлении тарифов на питьевую воду (питьевое водоснабжение) для потребителей муниципального унитарного предприятия Киквидзенского района Волгоградской области "Жилищно-коммунальное хозяйство" (Мачешанское, Преображенское и Дубровское сельские поселения)"
"О внесении изменений в приказ комитета тарифного регулирования Волгоградской области от 19 декабря 2023 г. № 51/41 "Об установлении тарифов на питьевую воду (питьевое водоснабжение) для потребителей муниципального унитарного предприятия Киквидзенского района Волгоградской области "Жилищно-коммунальное хозяйство" (Мачешанское, Преображенское и Дубровское сельские поселения)"
Номер опубликования: 3401202505230005
Дата опубликования:
23.05.2025
