Официальное опубликование правовых актов
ОФИЦИАЛЬНОЕ ОПУБЛИКОВАНИЕ
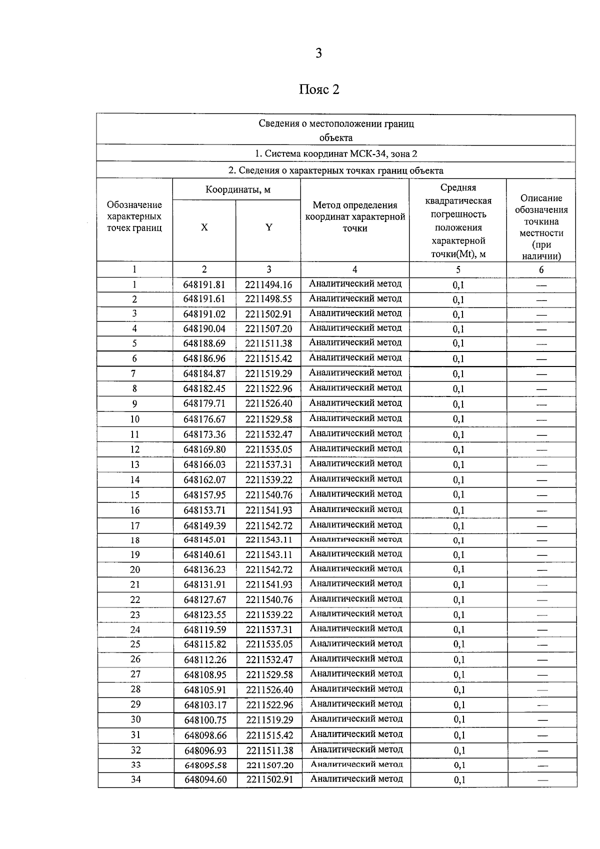
Приказ комитета природных ресурсов, лесного хозяйства и экологии Волгоградской области от 13.02.2025 № 257-ОД
"Об утверждении решения об установлении зоны санитарной охраны водозаборной скважины № 6528, расположенной по адресу: Волгоградская область, Котовский район, с. Племхоз, используемой в целях питьевого и хозяйственно-бытового водоснабжения с. Племхоз"
Номер опубликования: 3401202502140014
Дата опубликования: 14.02.2025
Страница №9 из 15:
Увеличить