Официальное опубликование правовых актов
ОФИЦИАЛЬНОЕ ОПУБЛИКОВАНИЕ
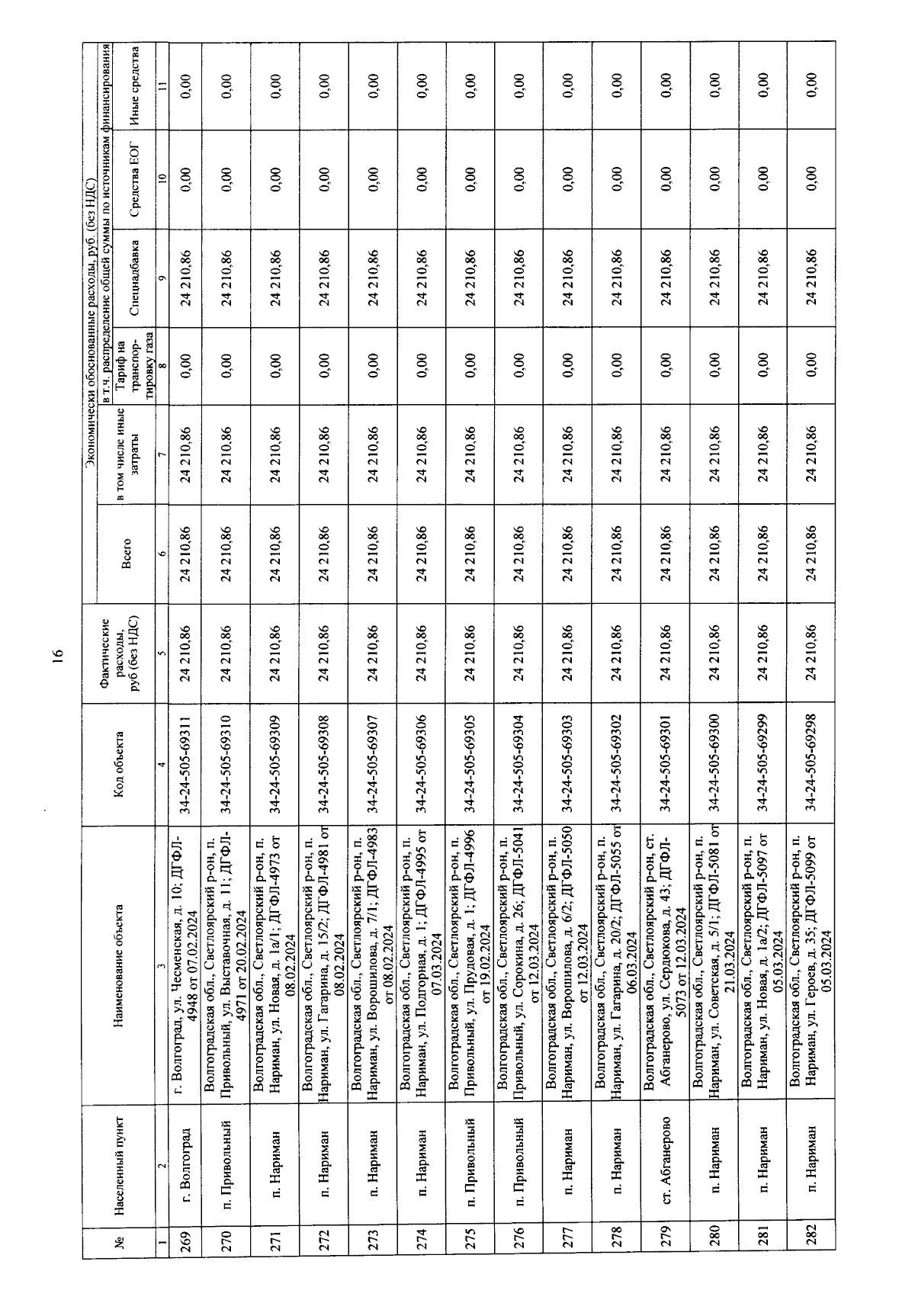
Приказ комитета тарифного регулирования Волгоградской области от 20.11.2024 № 42/3
"Об утверждении размера экономически обоснованных расходов ООО "Газпром газораспределение Волгоград" на выполнение мероприятий по технологическому присоединению в рамках догазификации за 2 квартал 2024 года"
Номер опубликования: 3401202411250005
Дата опубликования: 25.11.2024
Страница №17 из 73:
Увеличить