Официальное опубликование правовых актов
ОФИЦИАЛЬНОЕ ОПУБЛИКОВАНИЕ
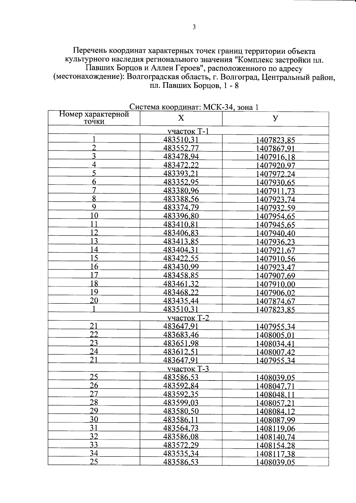
Приказ комитета государственной охраны объектов культурного наследия Волгоградской области от 11.09.2024 № 78-н
"Об утверждении границ и режимов использования территории объектов культурного наследия регионального значения, расположенных на территории городского округа город-герой Волгоград и Суровикинского района Волгоградской области"
Номер опубликования: 3401202409120004
Дата опубликования: 12.09.2024
Страница №4 из 10:
Увеличить