Приказ комитета ветеринарии Волгоградской области от 26.08.2024 № 325а
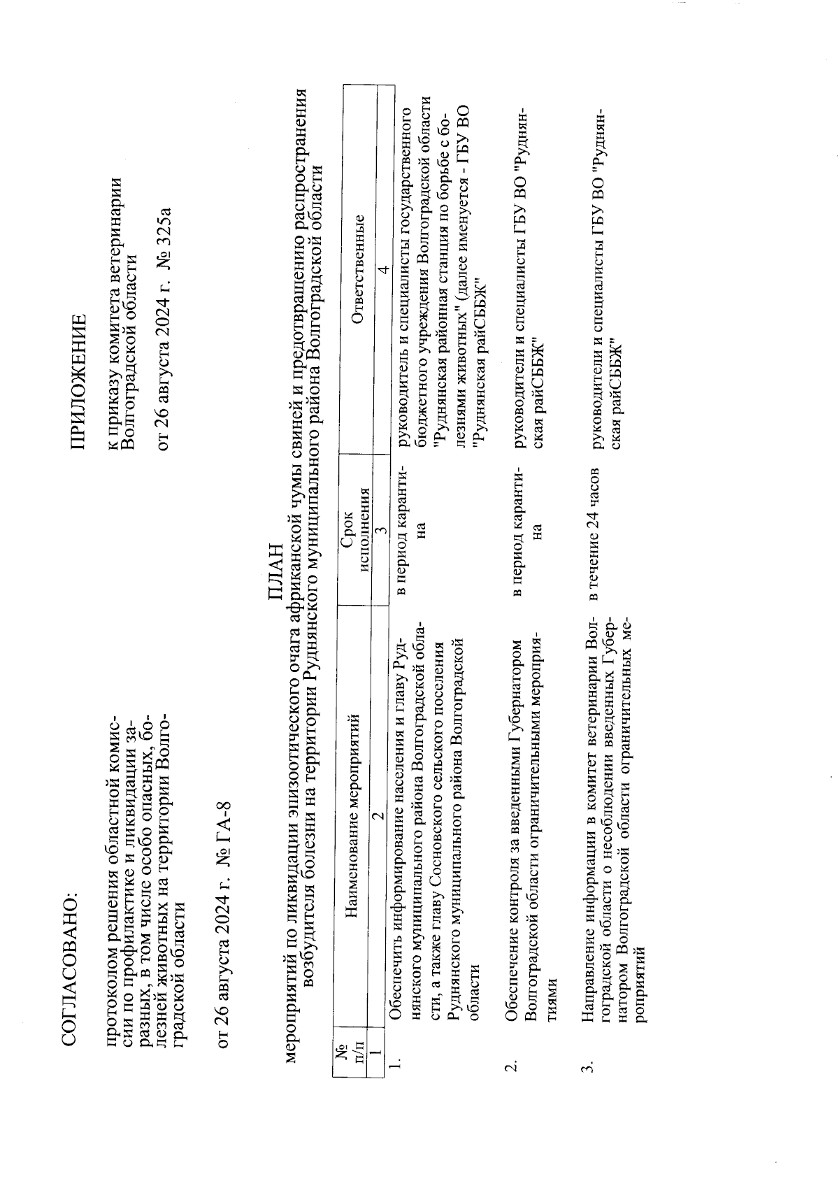
"Об утверждении плана мероприятий по ликвидации эпизоотического очага африканской чумы свиней и предотвращению распространения возбудителя болезни на территории Руднянского муниципального района Волгоградской области"
"Об утверждении плана мероприятий по ликвидации эпизоотического очага африканской чумы свиней и предотвращению распространения возбудителя болезни на территории Руднянского муниципального района Волгоградской области"
Номер опубликования: 3401202408270005
Дата опубликования:
27.08.2024
